Официальное опубликование правовых актов
ОФИЦИАЛЬНОЕ ОПУБЛИКОВАНИЕ
Закон Красноярского края от 19.12.2019 № 8-3524
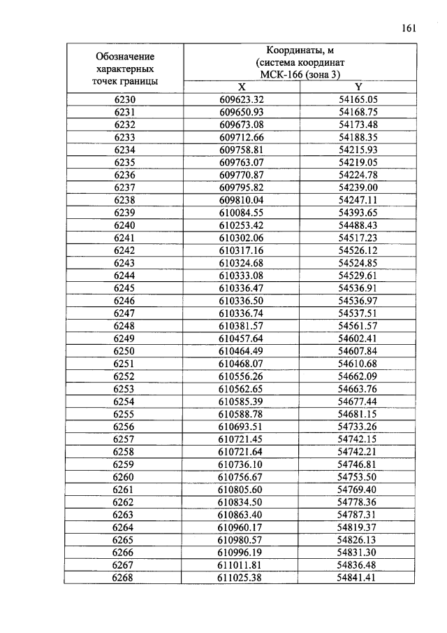
"О внесении изменений в Закон края "Об установлении границ и наделении соответствующим статусом муниципального образования Шарыповский район и находящихся в его границах иных муниципальных образований" (принят Законодательным Собранием Красноярского края 19.12.2019, подписан Губернатором Красноярского края 25.12.2019)
Номер опубликования: 2400201912310003
Дата опубликования: 31.12.2019
Страница №163 из 241:
Увеличить