Официальное опубликование правовых актов
ОФИЦИАЛЬНОЕ ОПУБЛИКОВАНИЕ
Закон Красноярского края от 05.12.2019 № 8-3435
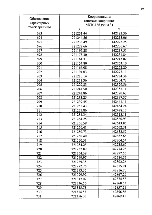
"О внесении изменений в Закон края "Об установлении границ и наделении соответствующим статусом муниципального образования Большеулуйский район и находящихся в его границах иных муниципальных образований" (принят Законодательным Собранием Красноярского края 05.12.2019, подписан Губернатором Красноярского края 18.12.2019)
Номер опубликования: 2400201912250001
Дата опубликования: 25.12.2019
Страница №152 из 815:
Увеличить