Официальное опубликование правовых актов
ОФИЦИАЛЬНОЕ ОПУБЛИКОВАНИЕ
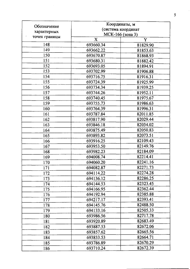
Закон Красноярского края от 21.11.2019 № 8-3363
"О внесении изменений в Закон края "Об установлении границ муниципального образования город Боготол и о наделении его статусом городского округа" (принят Законодательным Собранием Красноярского края 21.11.2019, подписан Губернатором Красноярского края 05.12.2019)
Номер опубликования: 2400201912110007
Дата опубликования: 11.12.2019
Страница №6 из 44:
Увеличить