Официальное опубликование правовых актов
ОФИЦИАЛЬНОЕ ОПУБЛИКОВАНИЕ
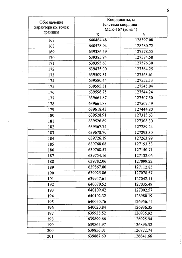
Закон Красноярского края от 21.11.2019 № 8-3367
"О внесении изменений в Закон края "Об утверждении границ г. Сосновоборска Красноярского края" и Закон края "О наделении муниципального образования город Сосновоборск статусом городского округа" (принят Законодательным Собранием Красноярского края 21.11.2019, подписан Губернатором Красноярского края 05.12.2019)
Номер опубликования: 2400201912110004
Дата опубликования: 11.12.2019
Страница №8 из 18:
Увеличить