Официальное опубликование правовых актов
ОФИЦИАЛЬНОЕ ОПУБЛИКОВАНИЕ
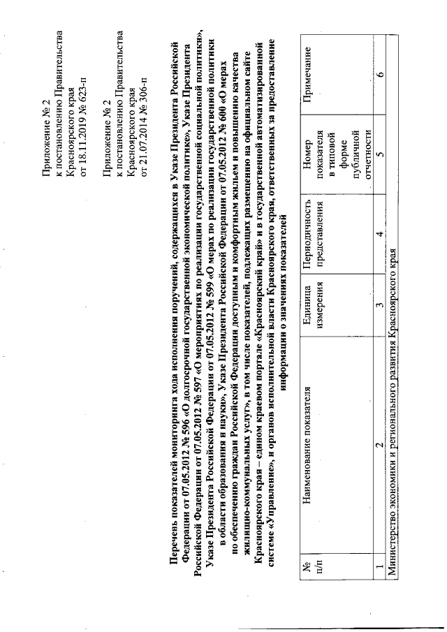
Постановление Правительства Красноярского края от 18.11.2019 № 623-п
"О внесении изменений в постановление Правительства Красноярского края от 21.07.2014 № 306-п "О формировании мониторинга показателей хода исполнения поручений, содержащихся в Указах Президента Российской Федерации от 07.05.2012 № 596 "О долгосрочной государственной экономической политике", от 07.05.2012 № 597 "О мероприятиях по реализации государственной социальной политики", от 07.05.2012 № 598 "О совершенствовании государственной политики в сфере здравоохранения", от 07.05.2012 № 599 "О мерах по реализации государственной политики в области образования и науки", от 07.05.2012 № 600 "О мерах по обеспечению граждан Российской Федерации доступным и комфортным жильем и повышению качества жилищно-коммунальных услуг", от 07.05.2012 № 601 "Об основных направлениях совершенствования системы государственного управления", от 07.05.2012 № 606 "О мерах по реализации демографической политики Российской Федерации", от 01.06.2012 № 761 "О национальной стратегии действий в интересах детей на 2012–2017 годы", от 28.12.2012 № 1688 "О некоторых мерах по реализации государственной политики в сфере защиты детей-сирот и детей, оставшихся без попечения родителей", и подготовке форм публичной отчетности органов исполнительной власти Красноярского края"
Номер опубликования: 2400201911250010
Дата опубликования: 25.11.2019
Страница №7 из 18:
Увеличить