Официальное опубликование правовых актов
ОФИЦИАЛЬНОЕ ОПУБЛИКОВАНИЕ
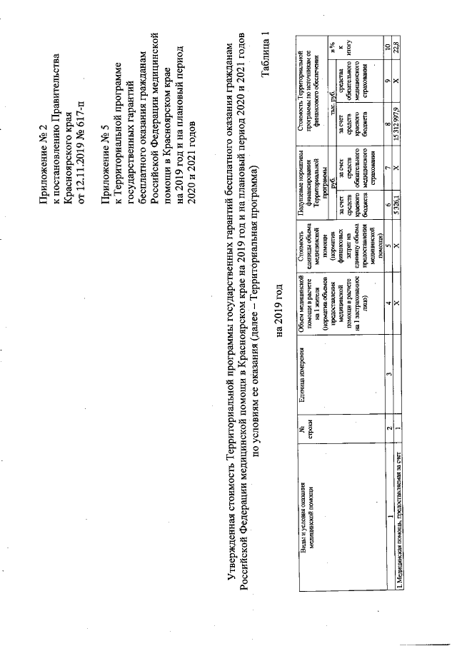
Постановление Правительства Красноярского края от 12.11.2019 № 617-п
"О внесении изменений в постановление Правительства Красноярского края от 25.12.2018 № 769-п "Об утверждении Территориальной программы государственных гарантий бесплатного оказания гражданам Российской Федерации медицинской помощи в Красноярском крае на 2019 год и на плановый период 2020 и 2021 годов"
Номер опубликования: 2400201911200007
Дата опубликования: 20.11.2019
Страница №9 из 23:
Увеличить