Официальное опубликование правовых актов
ОФИЦИАЛЬНОЕ ОПУБЛИКОВАНИЕ
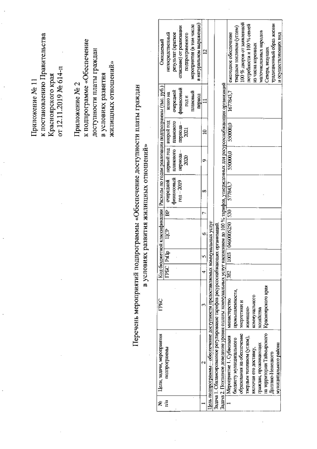
Постановление Правительства Красноярского края от 12.11.2019 № 614-п
"О внесении изменений в постановление Правительства Красноярского края от 30.09.2013 № 503-п "Об утверждении государственной программы Красноярского края "Реформирование и модернизация жилищно-коммунального хозяйства и повышение энергетической эффективности"
Номер опубликования: 2400201911200005
Дата опубликования: 20.11.2019
Страница №48 из 69:
Увеличить