Официальное опубликование правовых актов
ОФИЦИАЛЬНОЕ ОПУБЛИКОВАНИЕ
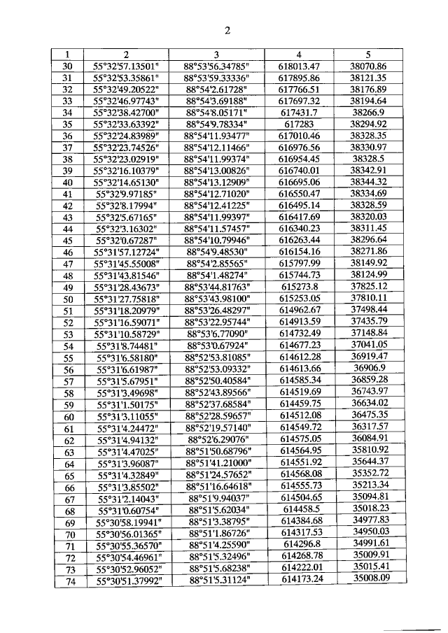
Постановление Правительства Красноярского края от 19.03.2019 № 125-п
"О внесении изменений в отдельные постановления Правительства Красноярского края по вопросам утверждения границ и режимов особой охраны территорий памятников природы краевого значения"
Номер опубликования: 2400201903280005
Дата опубликования: 28.03.2019
Страница №18 из 19:
Увеличить