Официальное опубликование правовых актов
ОФИЦИАЛЬНОЕ ОПУБЛИКОВАНИЕ
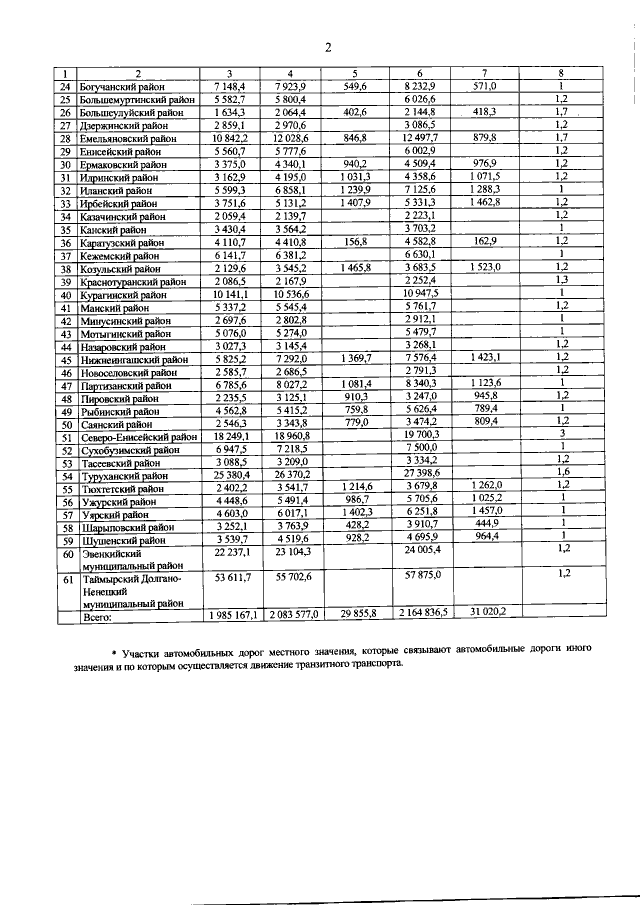
Постановление Правительства Красноярского края от 30.10.2018 № 632-п
"О внесении изменений в постановление Правительства Красноярского края от 30.09.2013 № 510-п "Об утверждении государственной программы Красноярского края "Развитие транспортной системы"
Номер опубликования: 2400201811060002
Дата опубликования: 06.11.2018
Страница №9 из 43:
Увеличить