Официальное опубликование правовых актов
ОФИЦИАЛЬНОЕ ОПУБЛИКОВАНИЕ
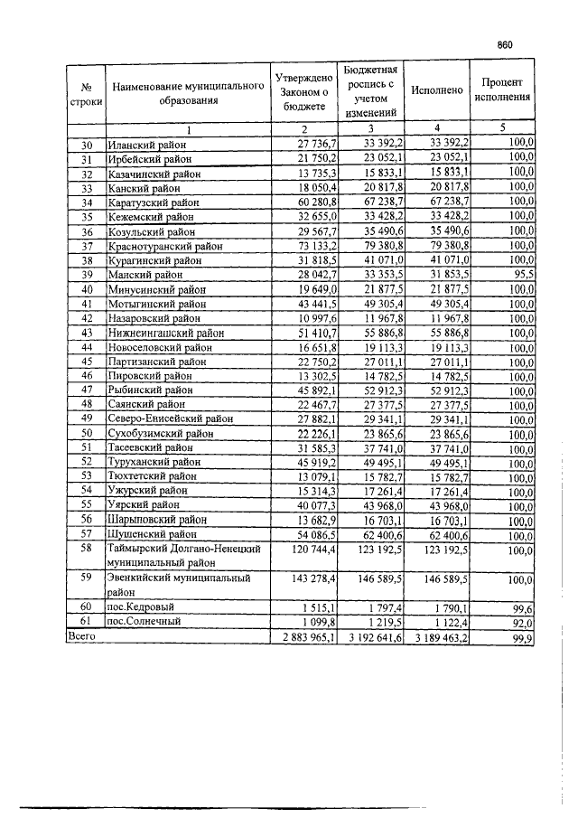
Закон Красноярского края от 05.07.2018 № 5-1770
"Об исполнении краевого бюджета за 2017 год" (принят Законодательным Собранием Красноярского края 05.07.2018, подписан временно исполняющим обязанности Губернатора Красноярского края 23.07.2018)
Номер опубликования: 2400201807260007
Дата опубликования: 26.07.2018
Страница №860 из 922:
Увеличить