Официальное опубликование правовых актов
ОФИЦИАЛЬНОЕ ОПУБЛИКОВАНИЕ
Постановление Правительства Красноярского края от 15.12.2017 № 775-п
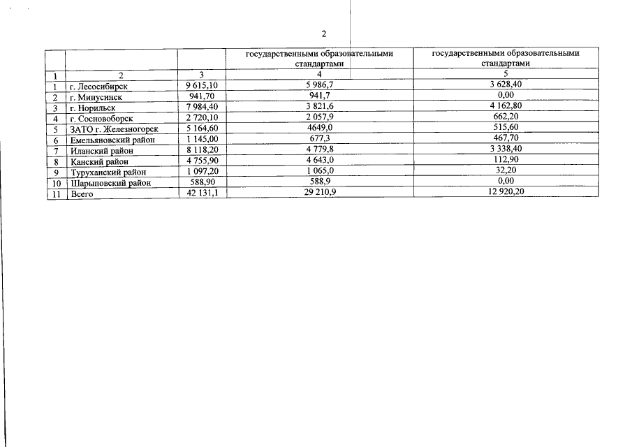
"Об утверждении распределения средств субвенции бюджетам муниципальных образований Красноярского края на обеспечение государственных гарантий реализации прав на получение общедоступного и бесплатного дошкольного образования в муниципальных дошкольных образовательных организациях, расположенных на территории Красноярского края, общедоступного и бесплатного дошкольного образования в муниципальных общеобразовательных организациях, расположенных на территории Красноярского края, не распределенных между муниципальными образованиями Красноярского края, на 2017 год"
Номер опубликования: 2400201712190018
Дата опубликования: 19.12.2017
Страница №4 из 4:
Увеличить