Официальное опубликование правовых актов
ОФИЦИАЛЬНОЕ ОПУБЛИКОВАНИЕ
Приказ администрации Краснодарского края от 30.03.2026 № 404-КН
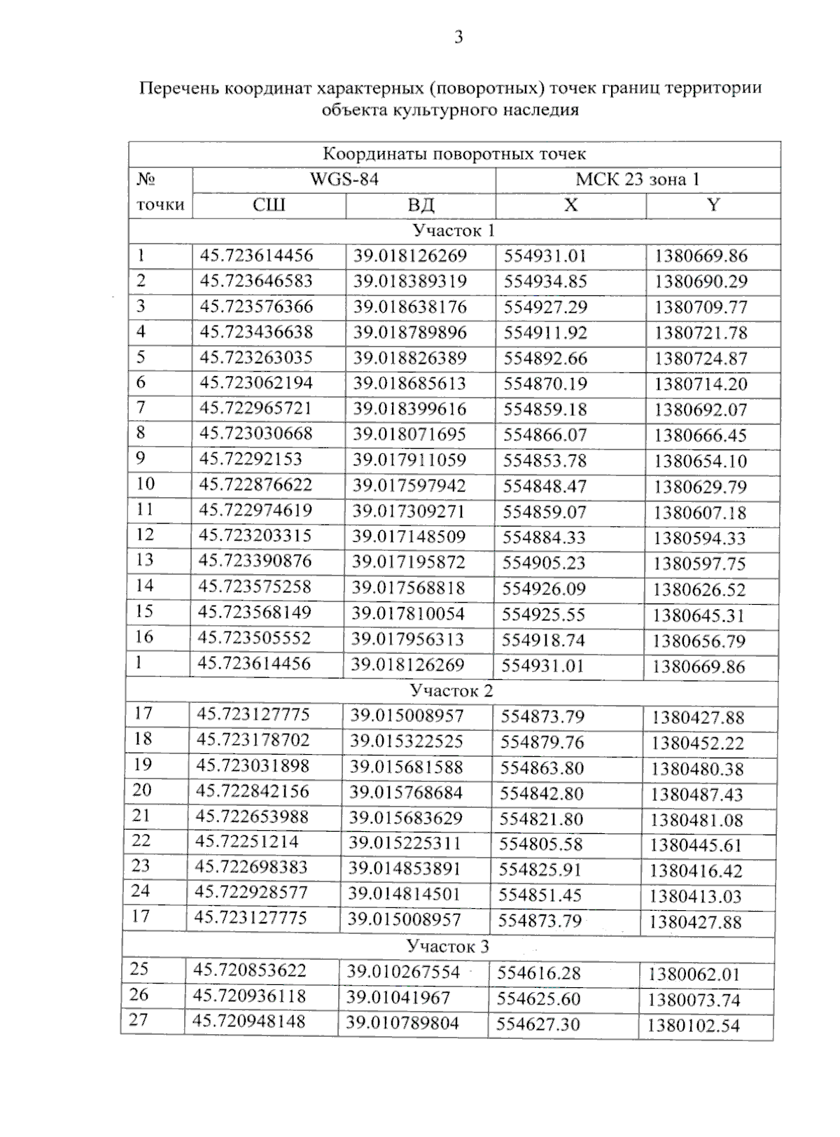
"О включении объекта "Курганная группа (8 насыпей)", Краснодарский край, Брюховецкий район, х. Кавказский, в 0,25 км к юго-юго-востоку от южной окраины хутора, в перечень выявленных объектов культурного наследия Краснодарского края, утверждении его границ и режима использования территории"
Номер опубликования: 2301202604010011
Дата опубликования: 01.04.2026
Страница №5 из 8:
Увеличить