Официальное опубликование правовых актов
ОФИЦИАЛЬНОЕ ОПУБЛИКОВАНИЕ
Приказ администрации Краснодарского края от 30.03.2026 № 401-КН
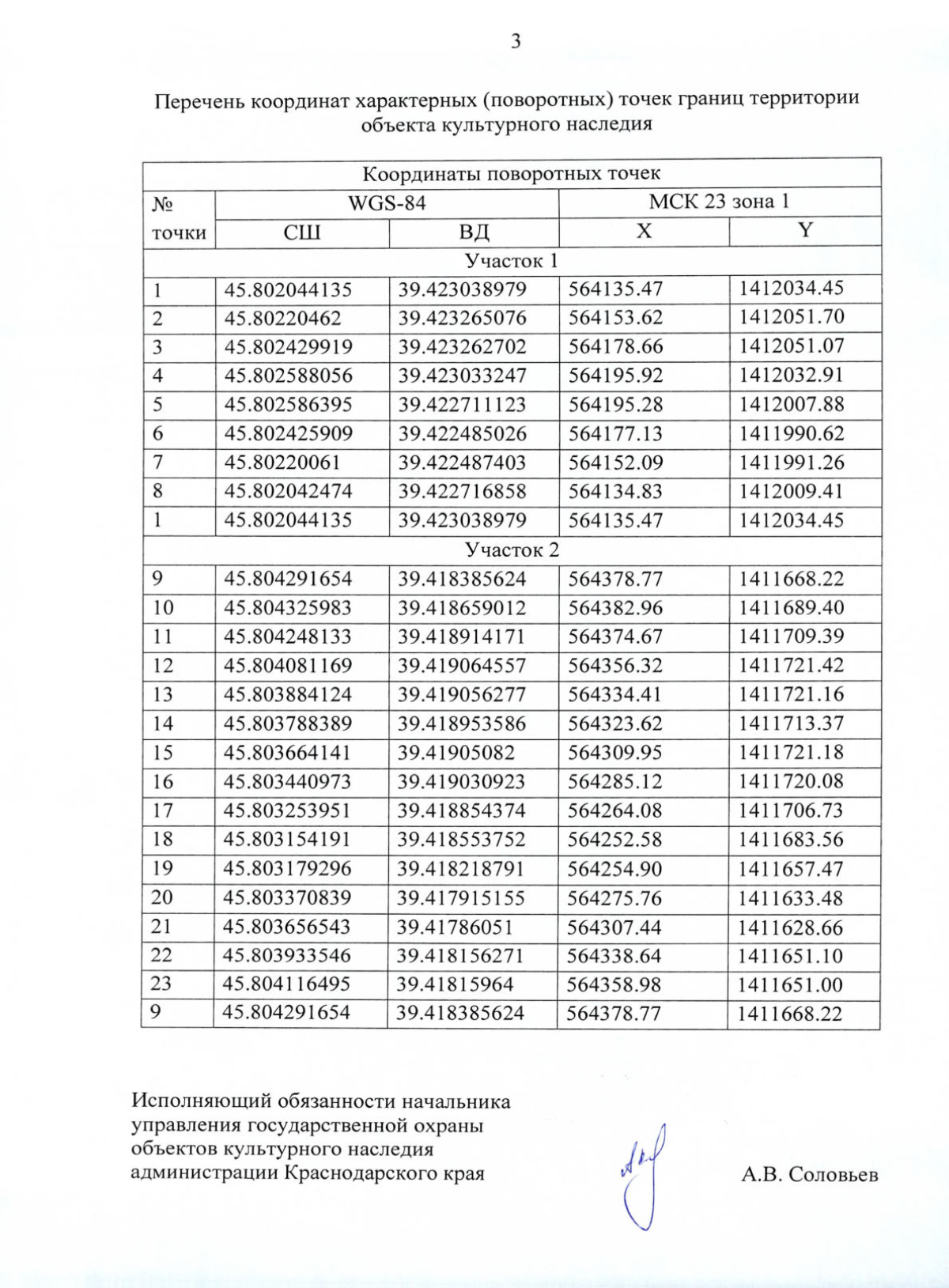
"О включении объекта "Курганная группа (3 насыпи)", Краснодарский край, Брюховецкий район, х. Полтавский, 1,5 км к северо-западу от кладбища хутора, у трассы на ст. Батуринскую, в перечень выявленных объектов культурного наследия Краснодарского края, утверждении его границ и режима использования территории"
Номер опубликования: 2301202604010007
Дата опубликования: 01.04.2026
Страница №5 из 6:
Увеличить