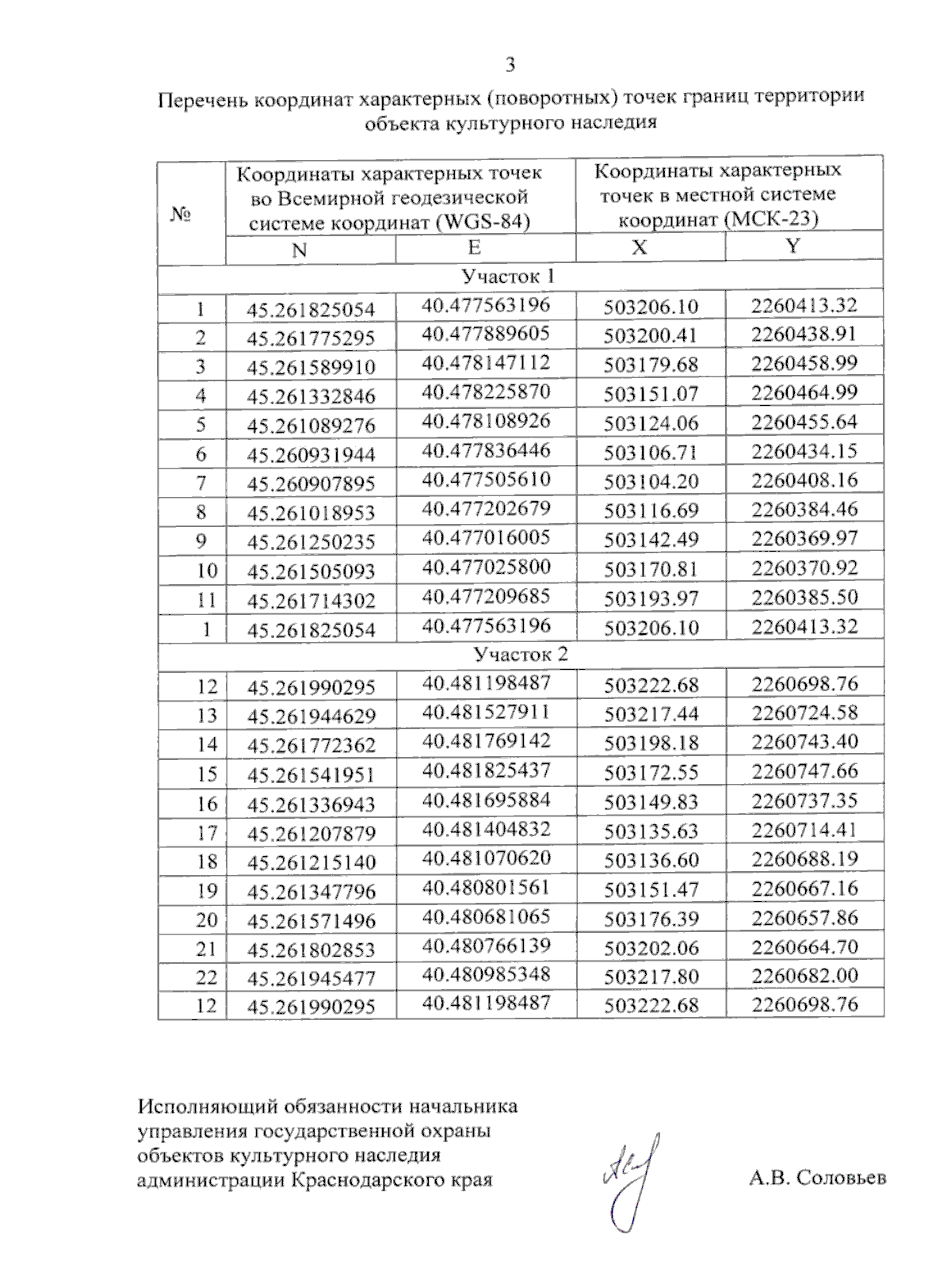
Приказ администрации Краснодарского края от 03.03.2026 № 210-КН
"Об утверждении границ и режима использования территории объекта культурного наследия федерального значения "Курганная группа "Орловская 3" (2 насыпи)", эпоха бронзы – позднее средневековье, Краснодарский край, Гулькевичский район, х. Орлов, 1,55 км к северу от северо–западного угла хутора"
"Об утверждении границ и режима использования территории объекта культурного наследия федерального значения "Курганная группа "Орловская 3" (2 насыпи)", эпоха бронзы – позднее средневековье, Краснодарский край, Гулькевичский район, х. Орлов, 1,55 км к северу от северо–западного угла хутора"
Номер опубликования: 2301202603050008
Дата опубликования:
05.03.2026
