Официальное опубликование правовых актов
ОФИЦИАЛЬНОЕ ОПУБЛИКОВАНИЕ
Приказ администрации Краснодарского края от 18.02.2026 № 129-КН
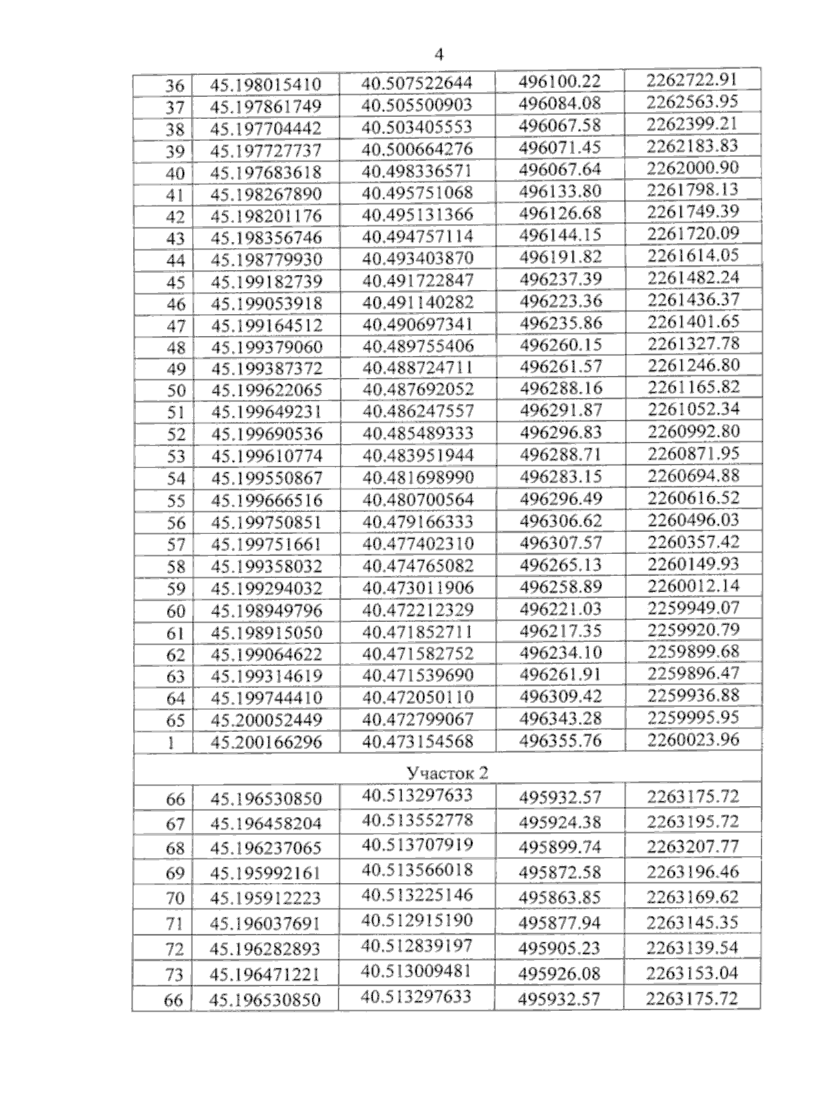
"Об утверждении границ и режима использования территории объекта культурного наследия федерального значения "Курганная группа "Булгаковская 2" (57 насыпей)", эпоха бронзы – позднее средневековье, Краснодарский край, Гулькевичский район, х. Булгаков, 1 км к северо–западу от северо–восточного угла хутора"
Номер опубликования: 2301202602240010
Дата опубликования: 24.02.2026
Страница №6 из 8:
Увеличить