Официальное опубликование правовых актов
ОФИЦИАЛЬНОЕ ОПУБЛИКОВАНИЕ
Приказ администрации Краснодарского края от 19.01.2026 № 15-КН
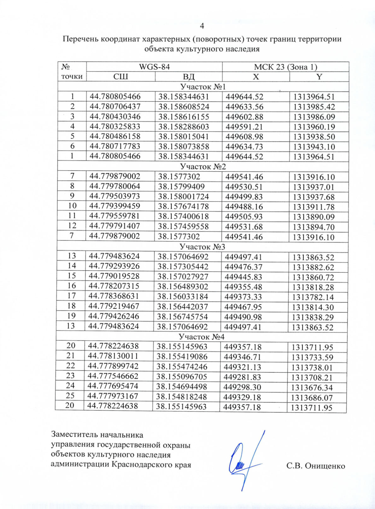
"Об утверждении границ и режима использования территории объекта культурного наследия федерального значения "Курганная группа "Васиков 2" (8 насыпей)", XIV–XV вв., Краснодарский край, Абинский район, г. Абинск, 5,5 км к югу от города, на Васиковом хребте"
Номер опубликования: 2301202601230010
Дата опубликования: 23.01.2026
Страница №6 из 7:
Увеличить