Официальное опубликование правовых актов
ОФИЦИАЛЬНОЕ ОПУБЛИКОВАНИЕ
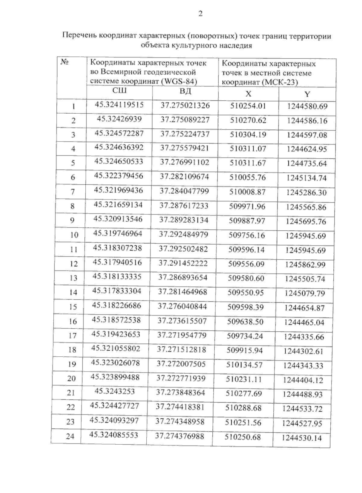
Приказ администрации Краснодарского края от 25.12.2025 № 1778-КН
"О внесении изменений в приказ администрации Краснодарского края от 27.03.2024 № 284-кн "Об утверждении границ и режима использования территории объекта культурного наследия федерального значения "Голубицкое городище", V в. до н.э. – IV в. н.э., Краснодарский край, Темрюкский район, ст–ца Голубицкая, восточная часть"
Номер опубликования: 2301202512260002
Дата опубликования: 26.12.2025
Страница №4 из 5:
Увеличить