Официальное опубликование правовых актов
ОФИЦИАЛЬНОЕ ОПУБЛИКОВАНИЕ
Приказ администрации Краснодарского края от 16.12.2025 № 1635-КН
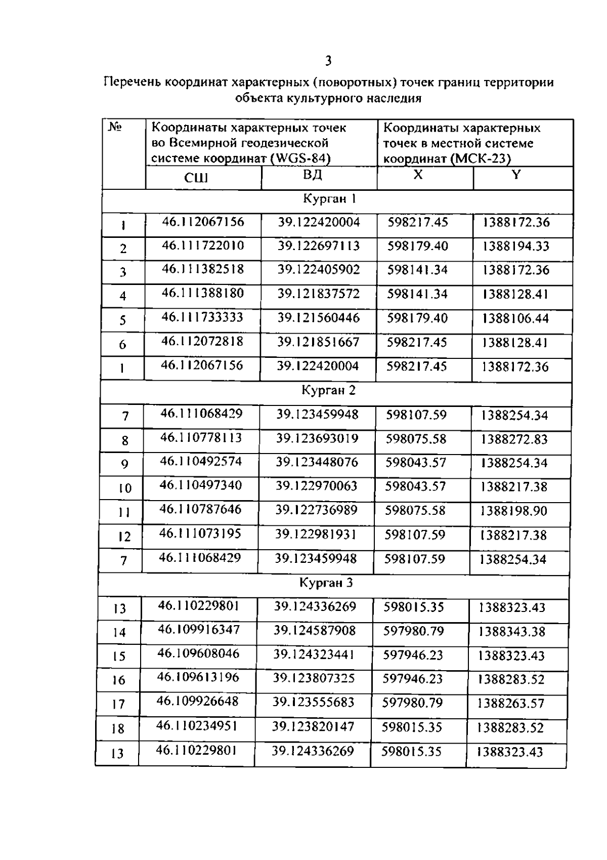
"Об утверждении границ и режима использования территории объекта культурного наследия федерального значения "Курганная группа "Шевченко 1" (10 насыпей)", эпоха бронзы – позднее средневековье, Краснодарский край, Каневской район, х. Шевченко, 0,4 км к югу от хутора"
Номер опубликования: 2301202512220024
Дата опубликования: 22.12.2025
Страница №5 из 7:
Увеличить