Официальное опубликование правовых актов
ОФИЦИАЛЬНОЕ ОПУБЛИКОВАНИЕ
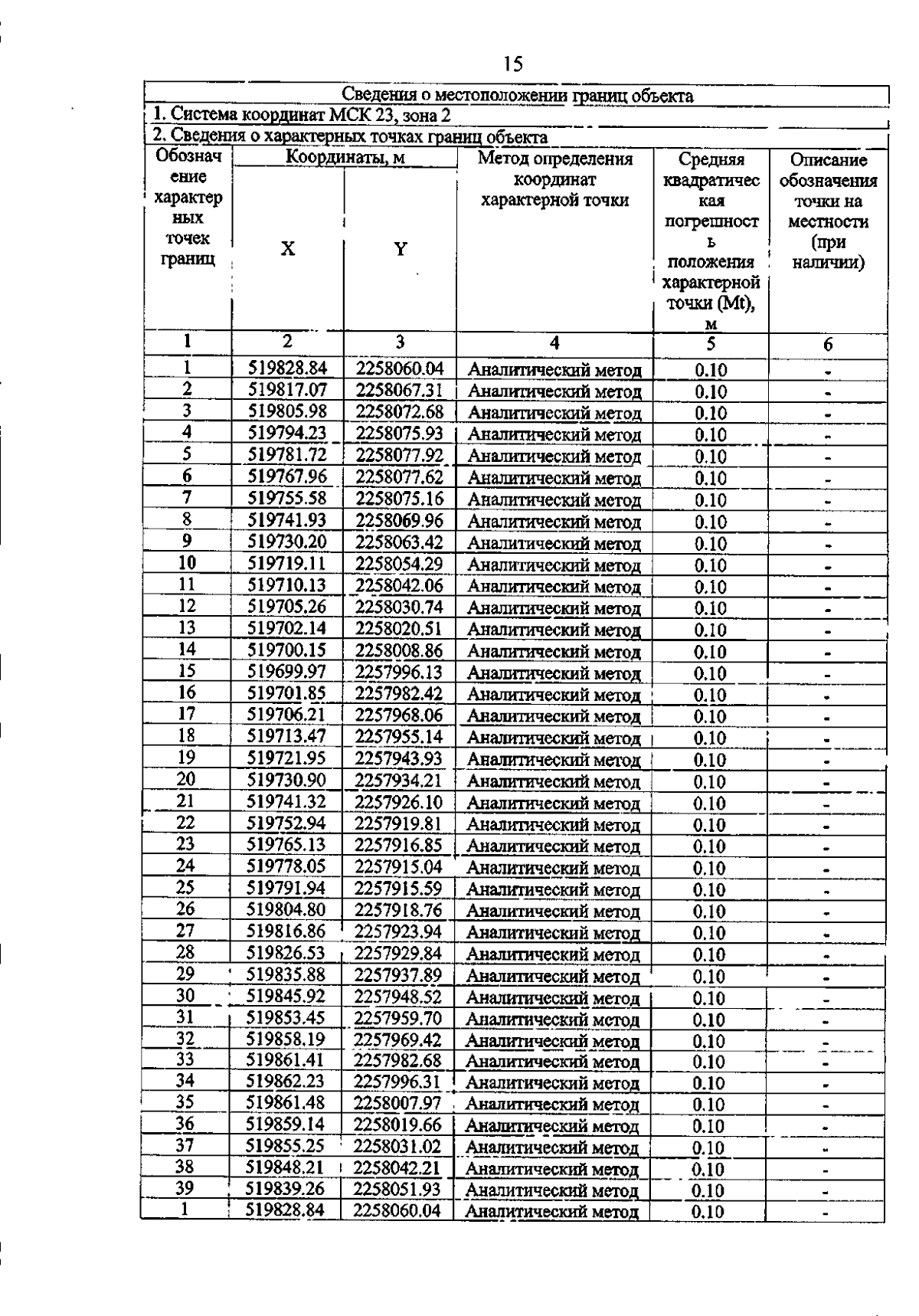
Приказ министерства природных ресурсов Краснодарского края от 02.12.2025 № 1847
"Об установлении и изменении зон санитарной охраны источников питьевого и хозяйственно-бытового водоснабжения индивидуального предпринимателя Соболева Алексея Михайловича в муниципальном образовании Кавказский район"
Номер опубликования: 2301202512080006
Дата опубликования: 08.12.2025
Страница №17 из 29:
Увеличить