Официальное опубликование правовых актов
ОФИЦИАЛЬНОЕ ОПУБЛИКОВАНИЕ
Приказ администрации Краснодарского края от 24.10.2025 № 1392-КН
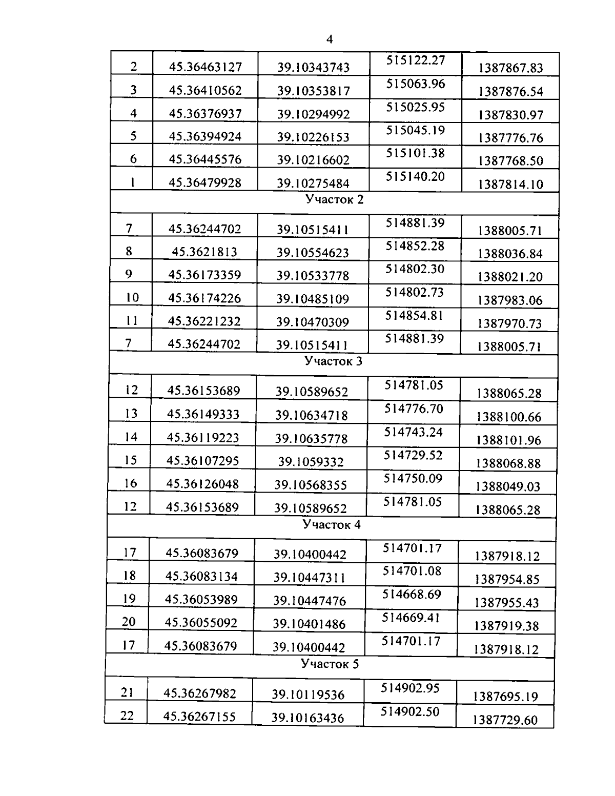
"Об утверждении границ и режима использования территории объекта культурного наследия федерального значения "Курганная группа "Старомышастовская 23" (5 насыпей)", эпоха бронзы – позднее средневековье, Краснодарский край, Динской район, ст–ца Старомышастовская, 2,18 км к востоку от северного угла станицы"
Номер опубликования: 2301202510280020
Дата опубликования: 28.10.2025
Страница №6 из 8:
Увеличить