Официальное опубликование правовых актов
ОФИЦИАЛЬНОЕ ОПУБЛИКОВАНИЕ
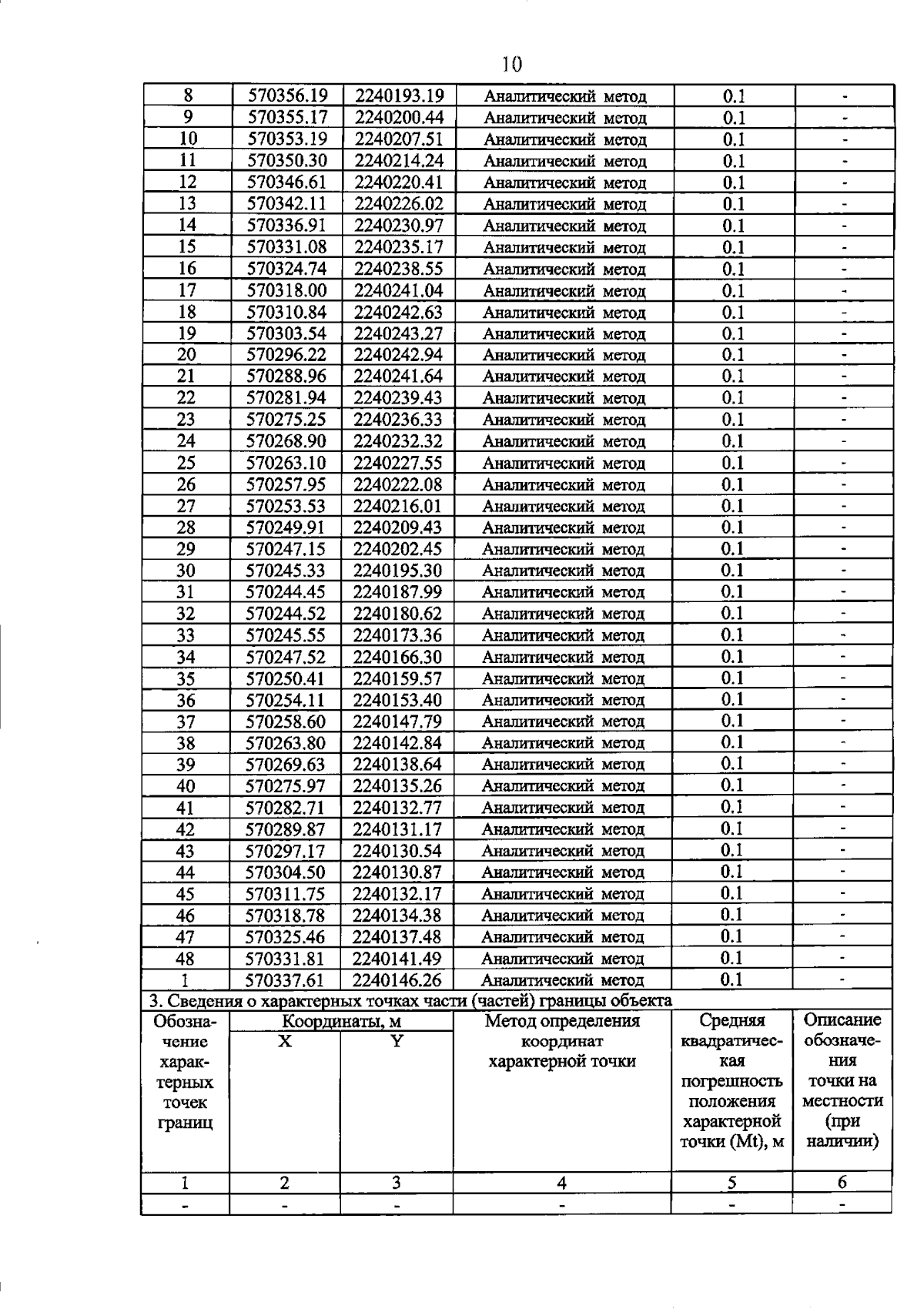
Приказ министерства природных ресурсов Краснодарского края от 03.10.2025 № 1525
"Об установлении зон санитарной охраны источников питьевого и хозяйственно-бытового водоснабжения общества с ограниченной ответственностью "Тепличный комплекс "Зеленая линия" в муниципальном образовании Тихорецкий район"
Номер опубликования: 2301202510090001
Дата опубликования: 09.10.2025
Страница №12 из 23:
Увеличить