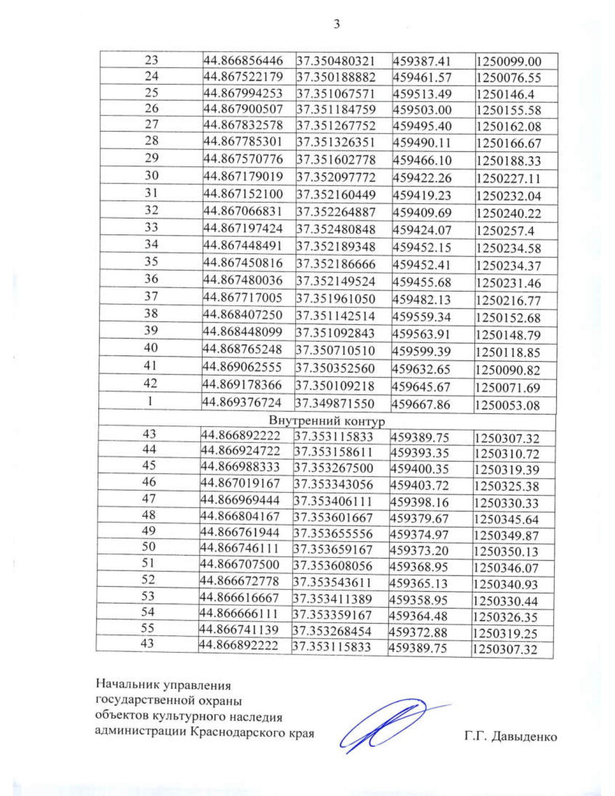
Приказ администрации Краснодарского края от 29.09.2025 № 1110-КН
"О внесении изменений в приказ администрации Краснодарского края от 14.08.2023 № 533-кн "Об утверждении границ и режима использования территории выявленного объекта культурного наследия "Поселение "Усадьба Супсех-1", Краснодарский край, город-курорт Анапа, с. Супсех, северо-западная окраина села"
"О внесении изменений в приказ администрации Краснодарского края от 14.08.2023 № 533-кн "Об утверждении границ и режима использования территории выявленного объекта культурного наследия "Поселение "Усадьба Супсех-1", Краснодарский край, город-курорт Анапа, с. Супсех, северо-западная окраина села"
Номер опубликования: 2301202510060010
Дата опубликования:
06.10.2025