Официальное опубликование правовых актов
ОФИЦИАЛЬНОЕ ОПУБЛИКОВАНИЕ
Приказ администрации Краснодарского края от 28.07.2025 № 730-КН
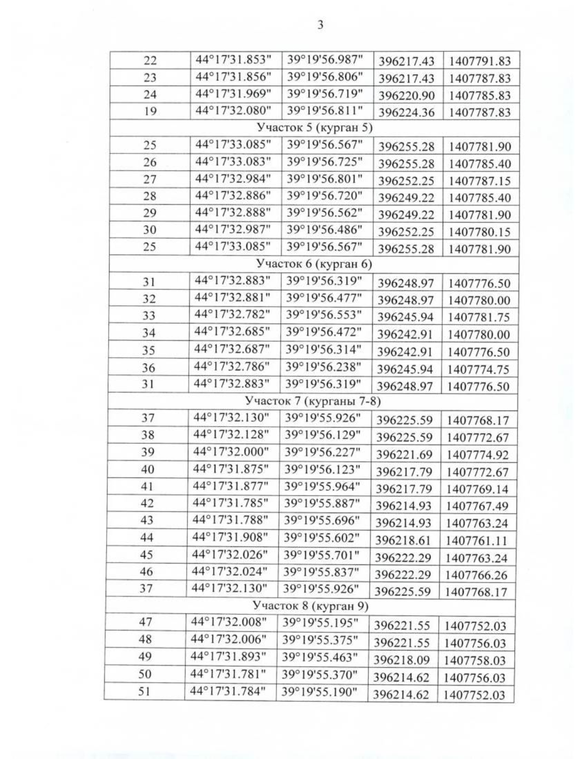
"О включении объекта "Курганный могильник "Холодная", Краснодарский край, Туапсинский район, в 2,2 км к югу от п. Октябрьский и в 3,3 км к северо-востоку от хут. Островская Щель, в перечень выявленных объектов культурного наследия Краснодарского края, утверждении его границ и режима использования территории"
Номер опубликования: 2301202508040015
Дата опубликования: 04.08.2025
Страница №5 из 7:
Увеличить