Официальное опубликование правовых актов
ОФИЦИАЛЬНОЕ ОПУБЛИКОВАНИЕ
Приказ администрации Краснодарского края от 22.04.2025 № 519-КН
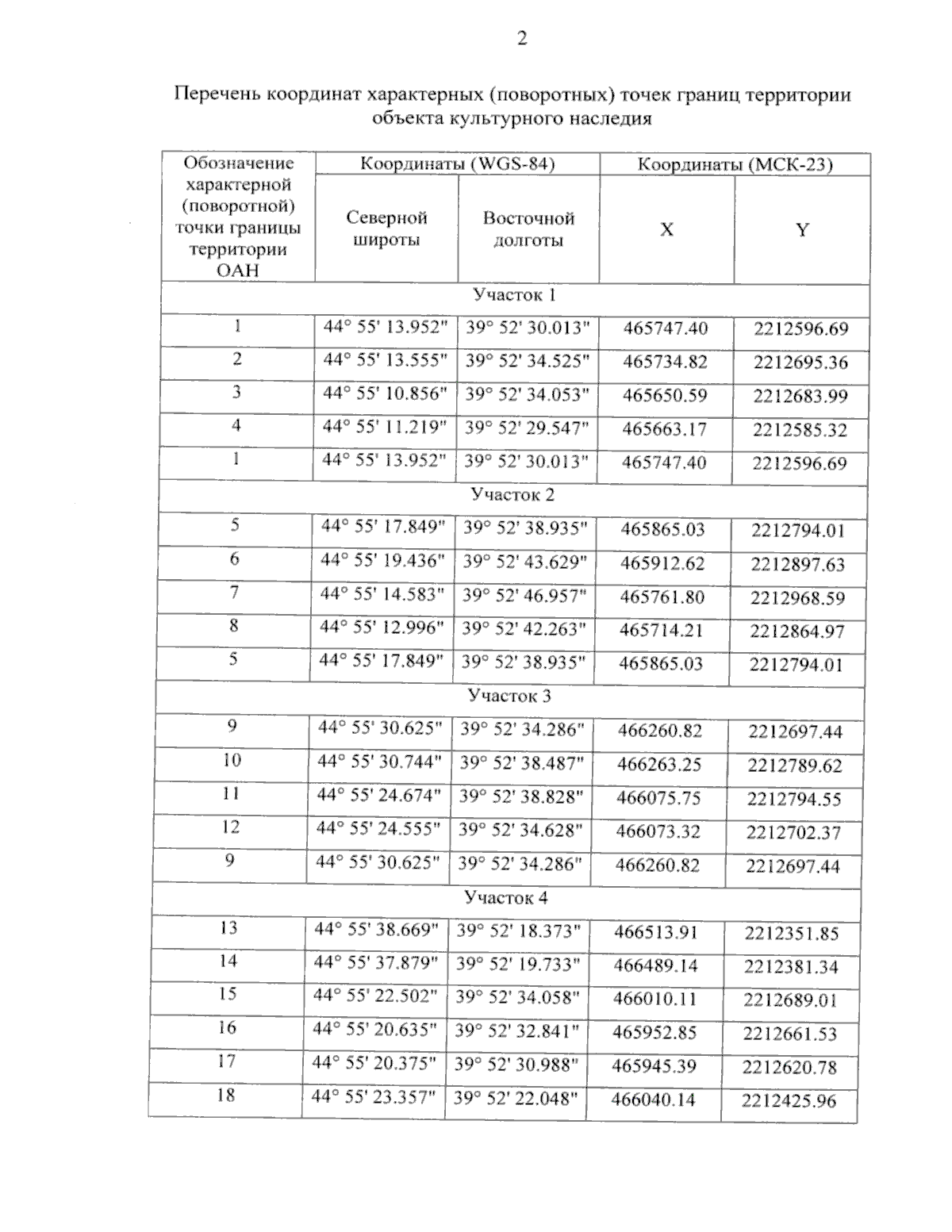
"О включении объекта "Курганная группа "Школьное 26", Краснодарский край, Белореченский район, 1,41 км к востоку-северо-востоку от здания школы искусств в с. Школьное, в перечень выявленных объектов культурного наследия Краснодарского края, утверждении его границ и режима использования территории"
Номер опубликования: 2301202504250020
Дата опубликования: 25.04.2025
Страница №4 из 6:
Увеличить