Официальное опубликование правовых актов
ОФИЦИАЛЬНОЕ ОПУБЛИКОВАНИЕ
Приказ администрации Краснодарского края от 03.04.2025 № 461-КН
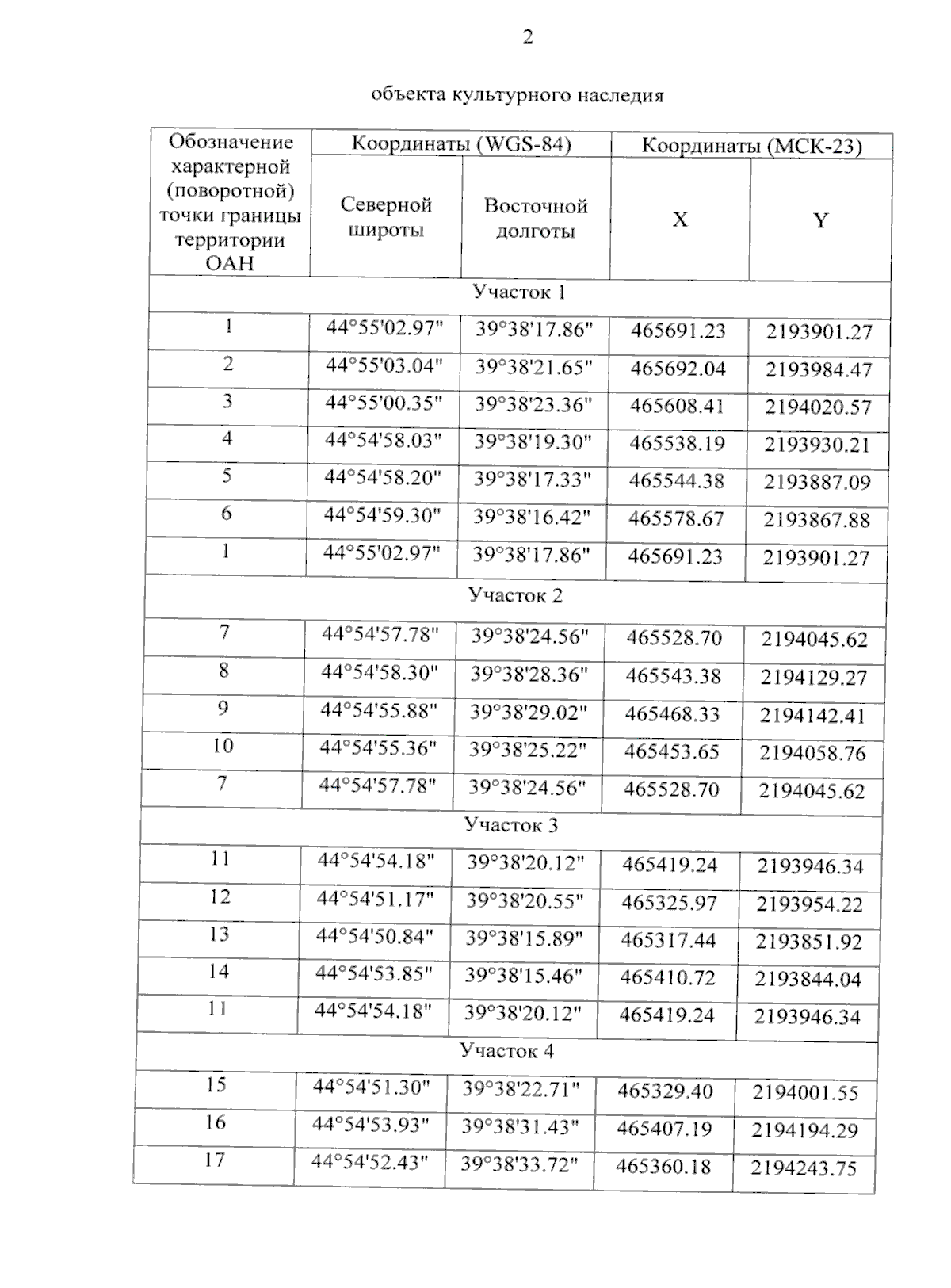
"О включении объекта "Курганная группа "Гливенко 10", Краснодарский край, Белореченский район, 1,17 км к северу-северо-востоку от Т-образного перекрестка-заезда в х. Гливенко, в перечень выявленных объектов культурного наследия Краснодарского края, утверждении его границ и режима использования территории"
Номер опубликования: 2301202504100003
Дата опубликования: 10.04.2025
Страница №4 из 6:
Увеличить