Официальное опубликование правовых актов
ОФИЦИАЛЬНОЕ ОПУБЛИКОВАНИЕ
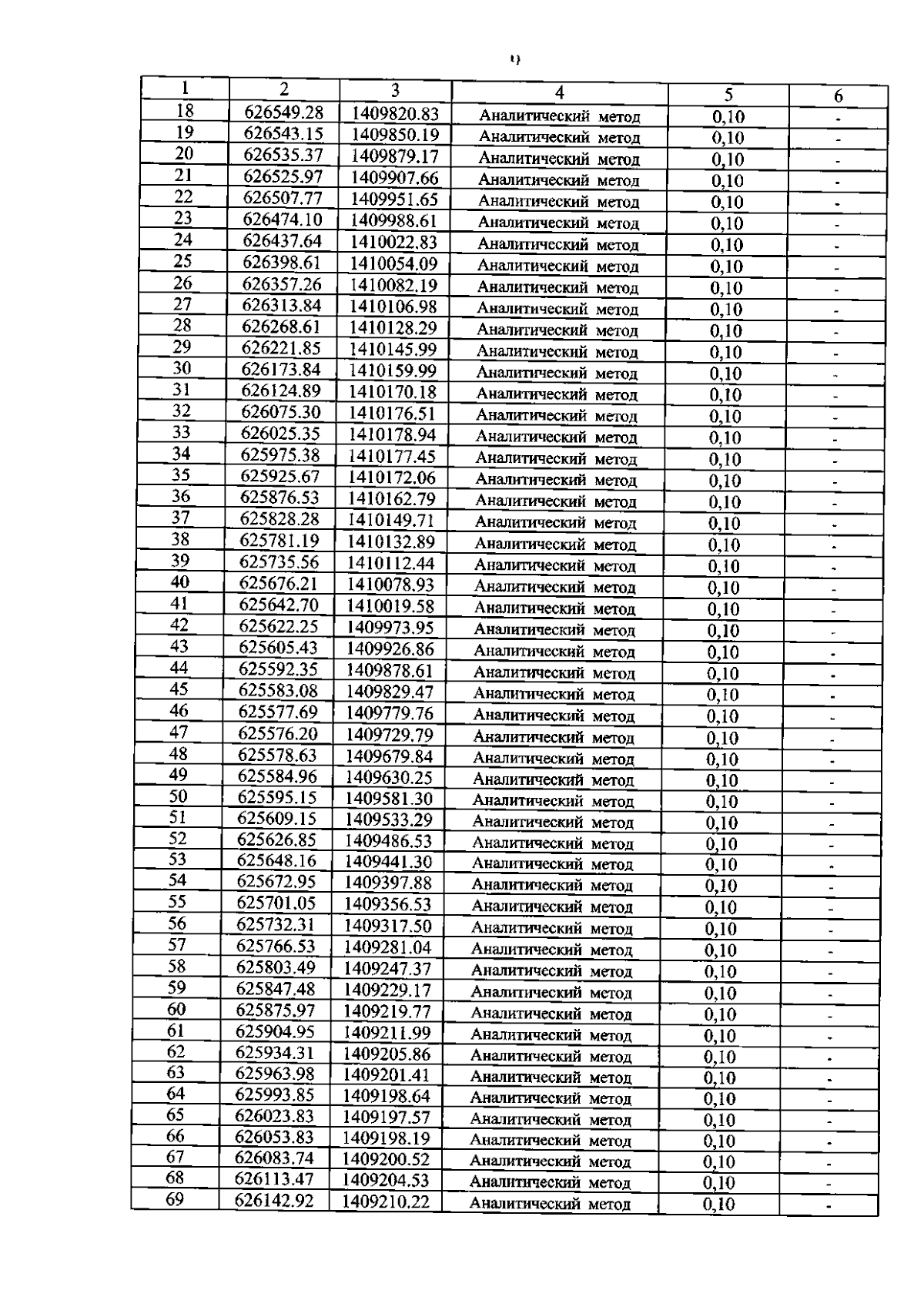
Приказ министерства природных ресурсов Краснодарского края от 13.03.2025 № 384
"Об установлении зон санитарной охраны источников питьевого и хозяйственно-бытового водоснабжения акционерного общества "Ленинградское" в муниципальном образовании Ленинградский муниципальный округ"
Номер опубликования: 2301202503200001
Дата опубликования: 20.03.2025
Страница №11 из 16:
Увеличить