Официальное опубликование правовых актов
ОФИЦИАЛЬНОЕ ОПУБЛИКОВАНИЕ
Приказ администрации Краснодарского края от 05.08.2019 № 127-КН
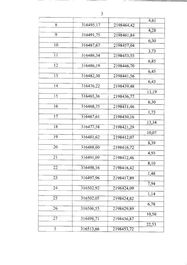
"Об утверждении границ и режима использования территории, а также зон охраны и требований к градостроительным регламентам в границах территорий указанных зон объекта культурного наследия регионального значения "Памятник "Пушка и якорь" воинам, погибшим в русско-турецкой войне", 1828 – 1829 годы, 1779 г., 1807 г., 1913 г., Краснодарский край, город-курорт Сочи, Центральный район, ул. Приморская, 1, у библиотеки им. А.С. Пушкина"
Номер опубликования: 2301201908120001
Дата опубликования: 12.08.2019
Страница №9 из 15:
Увеличить