Официальное опубликование правовых актов
ОФИЦИАЛЬНОЕ ОПУБЛИКОВАНИЕ
Приказ министерства труда и социального развития Краснодарского края от 17.10.2018 № 1559
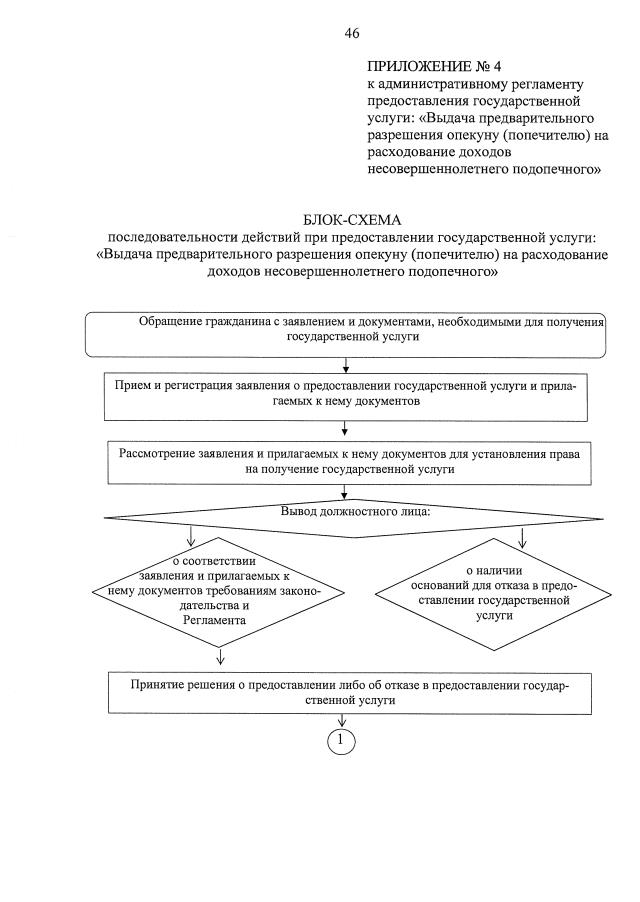
"О внесении изменений в приказ министерства социального развития и семейной политики Краснодарского края от 31 августа 2015 года № 990 "Об утверждении административного регламента предоставления государственной услуги: "Выдача предварительного разрешения опекуну (попечителю) на расходование доходов несовершеннолетнего подопечного"
Номер опубликования: 2301201810260004
Дата опубликования: 26.10.2018
Страница №48 из 49:
Увеличить