Официальное опубликование правовых актов
ОФИЦИАЛЬНОЕ ОПУБЛИКОВАНИЕ
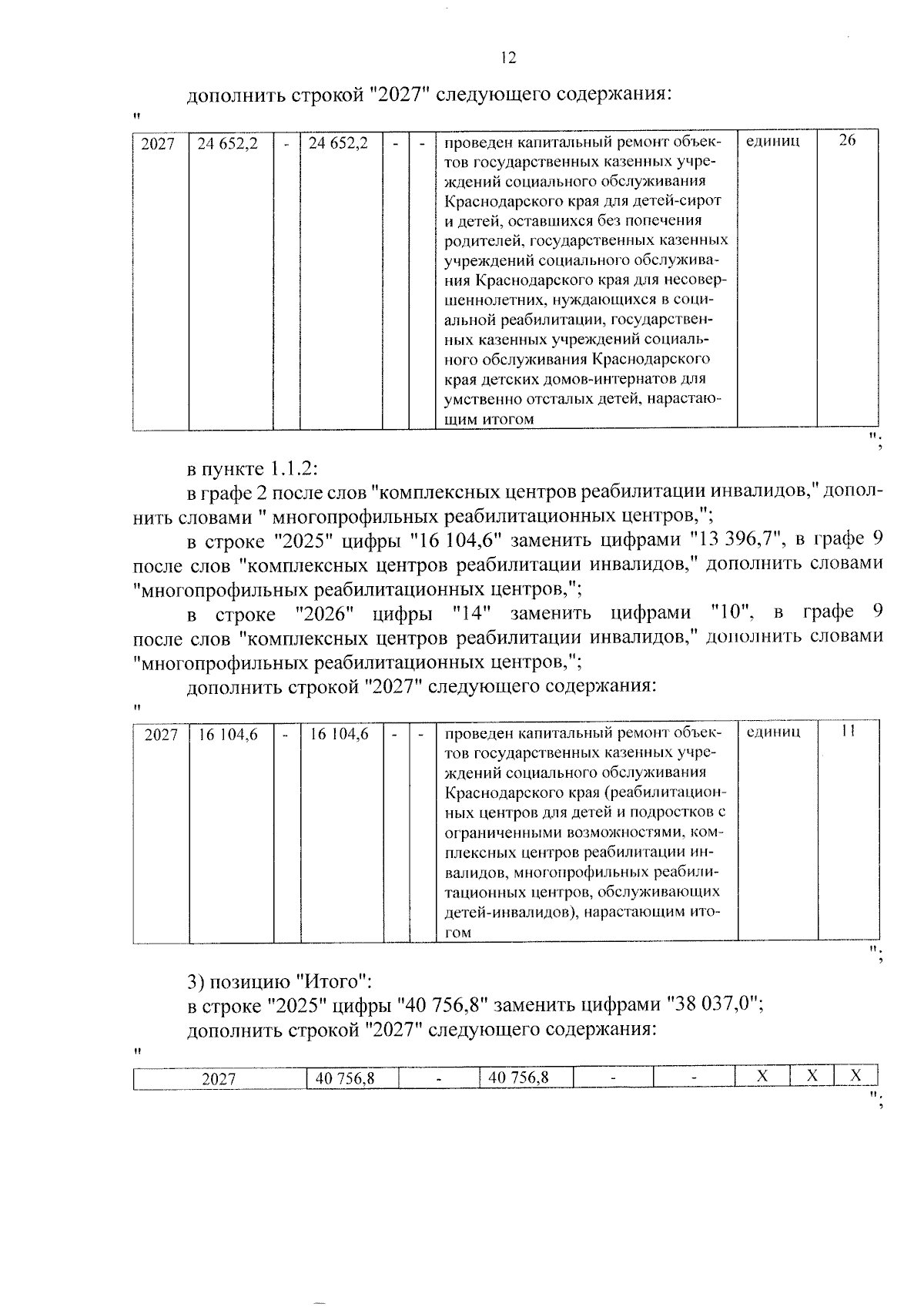
Постановление Губернатора Краснодарского края от 24.09.2025 № 600
"О внесении изменений в постановление главы администрации (губернатора) Краснодарского края от 12 октября 2015 г. № 964 "Об утверждении государственной программы Краснодарского края "Дети Кубани"
Номер опубликования: 2300202510010006
Дата опубликования: 01.10.2025
Страница №13 из 34:
Увеличить