Официальное опубликование правовых актов
ОФИЦИАЛЬНОЕ ОПУБЛИКОВАНИЕ
Постановление Губернатора Краснодарского края от 21.04.2025 № 216
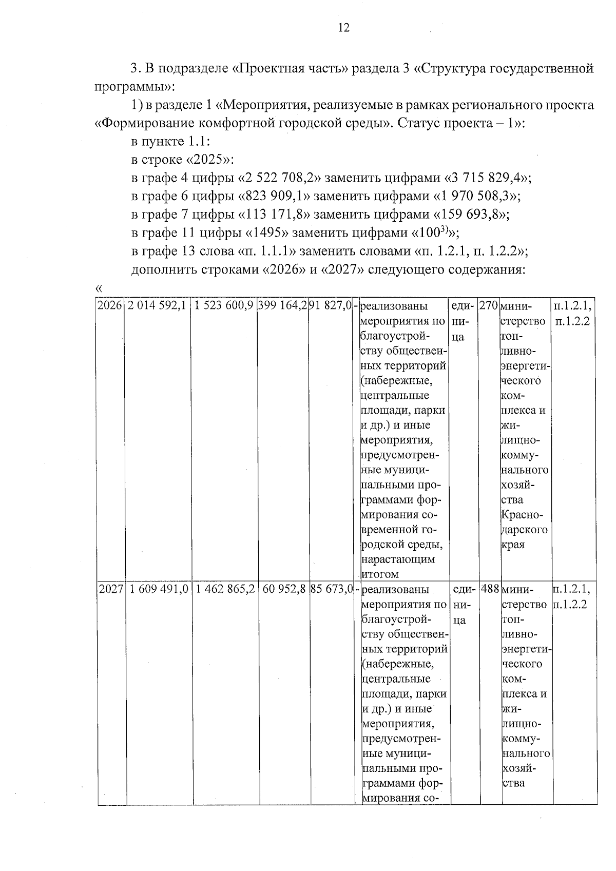
"О внесении изменений в постановление главы администрации (губернатора) Краснодарского края от 31 августа 2017 г. № 655 "Об утверждении государственной программы Краснодарского края "Формирование современной городской среды"
Номер опубликования: 2300202504250005
Дата опубликования: 25.04.2025
Страница №13 из 27:
Увеличить