Официальное опубликование правовых актов
ОФИЦИАЛЬНОЕ ОПУБЛИКОВАНИЕ
Постановление Губернатора Краснодарского края от 23.12.2024 № 954
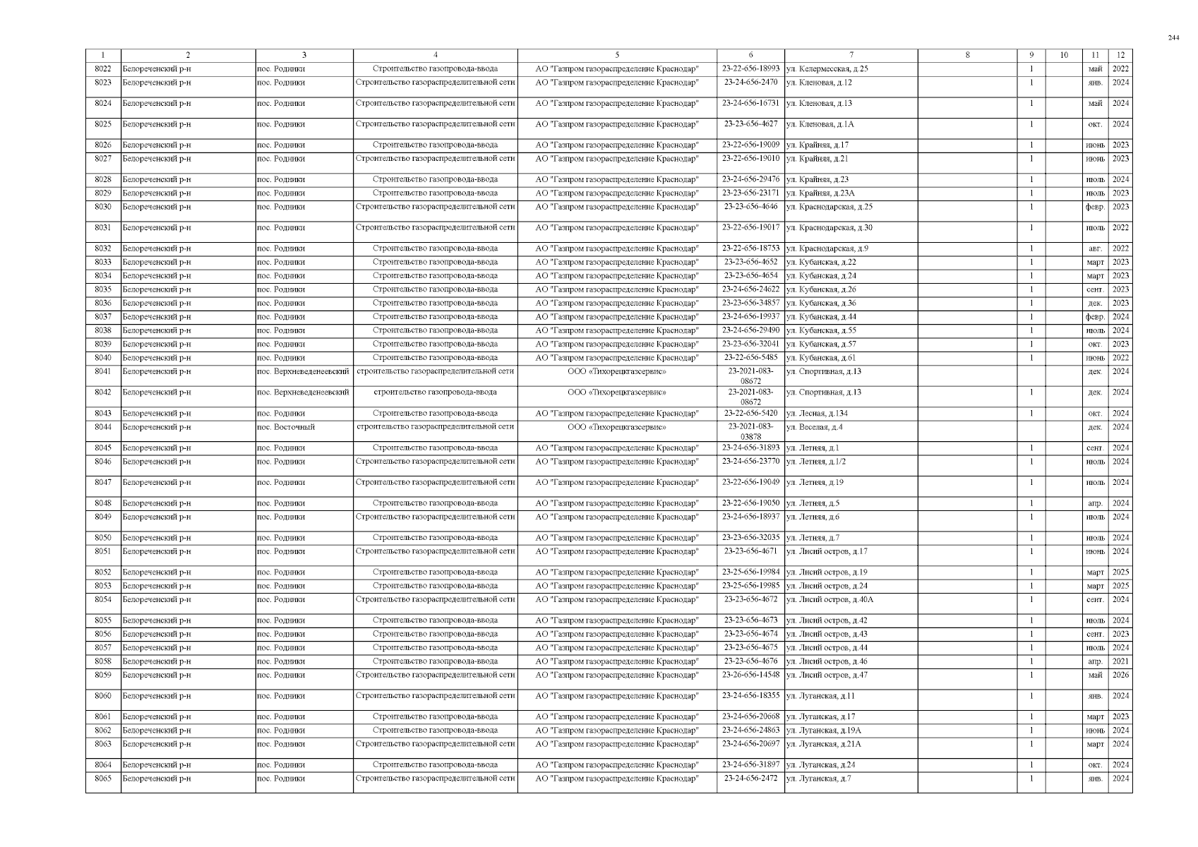
"О внесении изменений в постановление главы администрации (губернатора) Краснодарского края от 10 декабря 2018 г. № 810 "Об утверждении региональной программы "Газификация жилищно-коммунального хозяйства, промышленных и иных организаций Краснодарского края"
Номер опубликования: 2300202412270015
Дата опубликования: 27.12.2024
Страница №245 из 5202:
Увеличить