Официальное опубликование правовых актов
ОФИЦИАЛЬНОЕ ОПУБЛИКОВАНИЕ
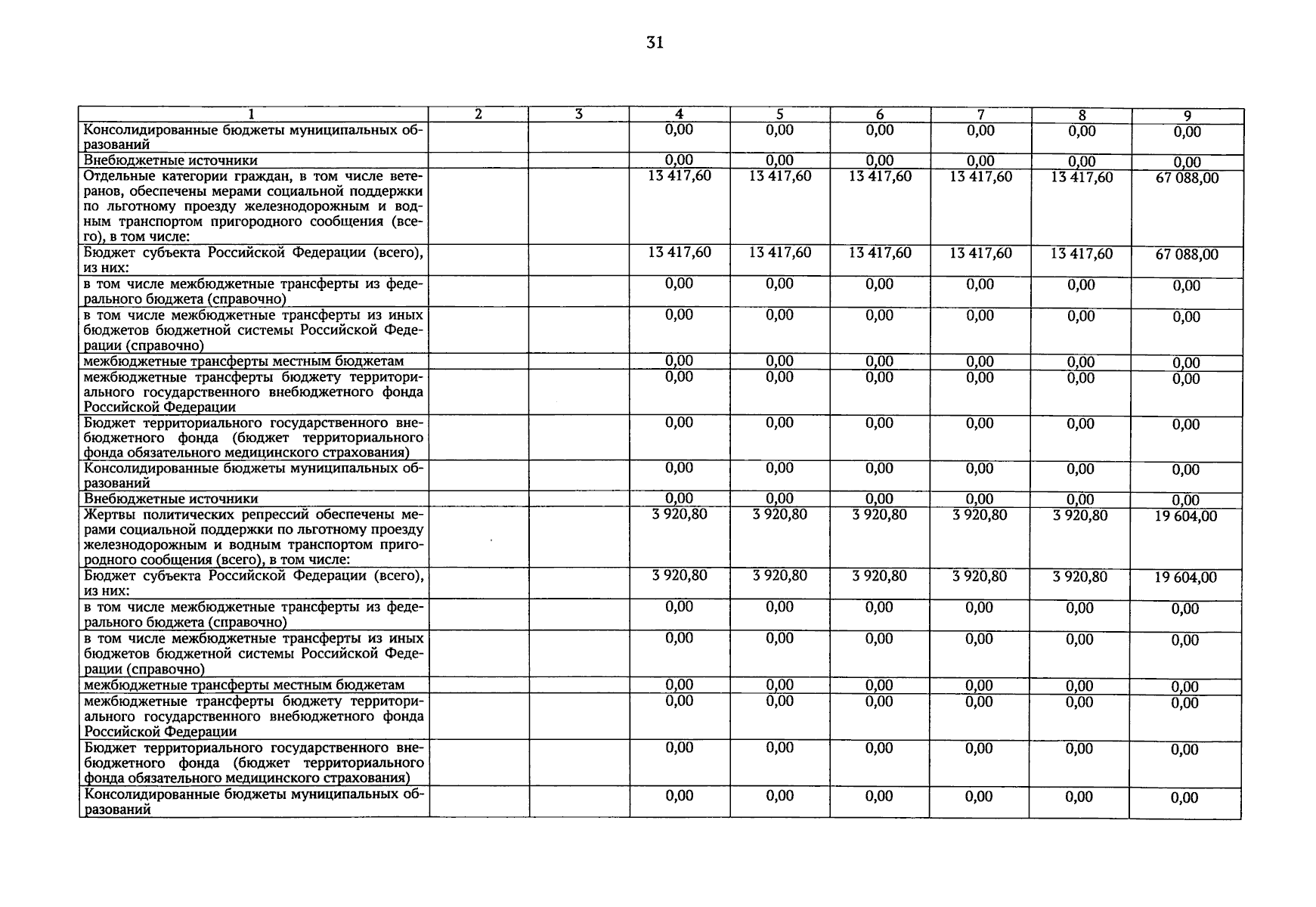
Приказ Министерства социальной защиты Алтайского края от 06.04.2026 № 27/Пр/204
"О внесении изменения в приказ Министерства социальной защиты Алтайского края от 27.12.2023 № 27/Пр/396"
(Зарегистрирован 06.04.2026 № 410)
Номер опубликования: 2201202604060003
Дата опубликования: 06.04.2026
Страница №31 из 51:
Увеличить