Официальное опубликование правовых актов
ОФИЦИАЛЬНОЕ ОПУБЛИКОВАНИЕ
Приказ Министерства экономического развития Алтайского края от 01.04.2026 № 5
"О внесении изменений в приказ Министерства экономического развития Алтайского края от 22.12.2023 № 19"
(Зарегистрирован 01.04.2026 № 387)
Номер опубликования: 2201202604010002
Дата опубликования: 01.04.2026
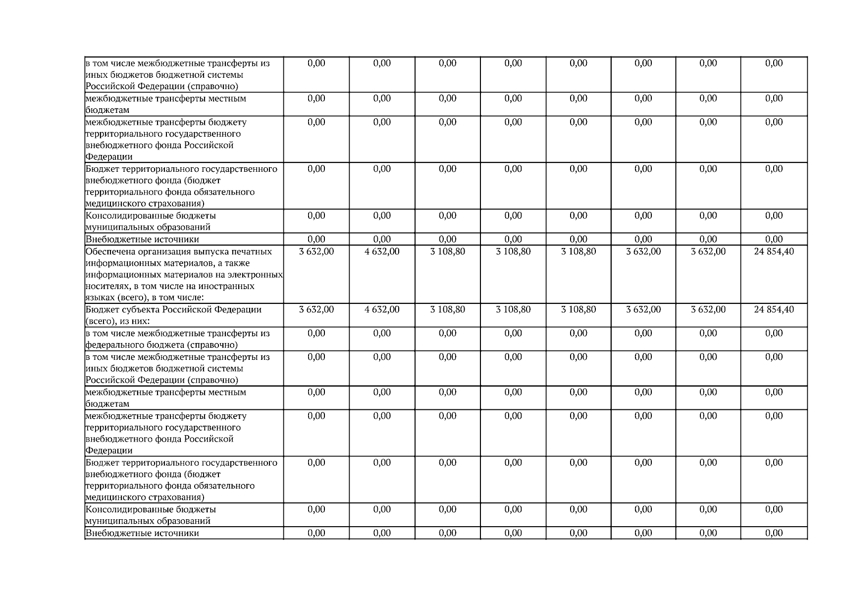
Страница №9 из 56:
Увеличить