Официальное опубликование правовых актов
ОФИЦИАЛЬНОЕ ОПУБЛИКОВАНИЕ
Приказ Министерства строительства и жилищно-коммунального хозяйства Алтайского края от 02.03.2026 № 142
"О внесении изменения в приказ Министерства строительства и жилищно-коммунального хозяйства Алтайского края от 18.04.2024 № 253"
(Зарегистрирован 03.03.2026 № 240)
Номер опубликования: 2201202603030001
Дата опубликования: 03.03.2026
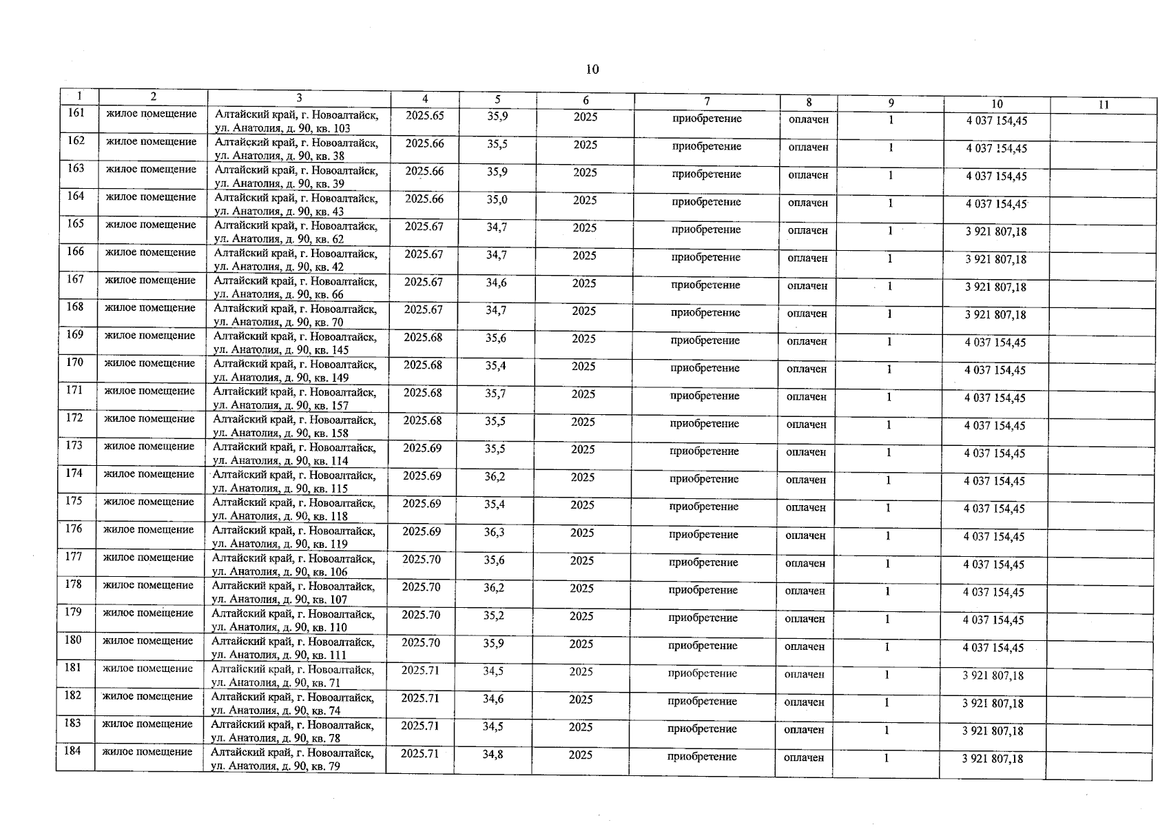
Страница №10 из 11:
Увеличить