Официальное опубликование правовых актов
ОФИЦИАЛЬНОЕ ОПУБЛИКОВАНИЕ
Приказ Министерства природных ресурсов и экологии Алтайского края от 23.12.2025 № 1443
"Об установлении зон санитарной охраны подземного источника питьевого и хозяйственно-бытового водоснабжения ООО "Барнаульский завод энергетического оборудования имени Воеводина Д.В." (город Барнаул, Алтайский край)"
(Зарегистрирован 24.12.2025 № 2267)
Номер опубликования: 2201202512240030
Дата опубликования: 24.12.2025
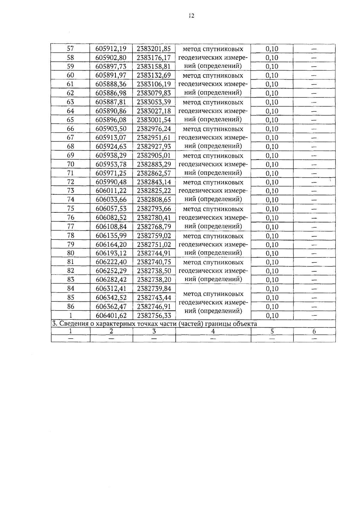
Страница №12 из 14:
Увеличить