Официальное опубликование правовых актов
ОФИЦИАЛЬНОЕ ОПУБЛИКОВАНИЕ
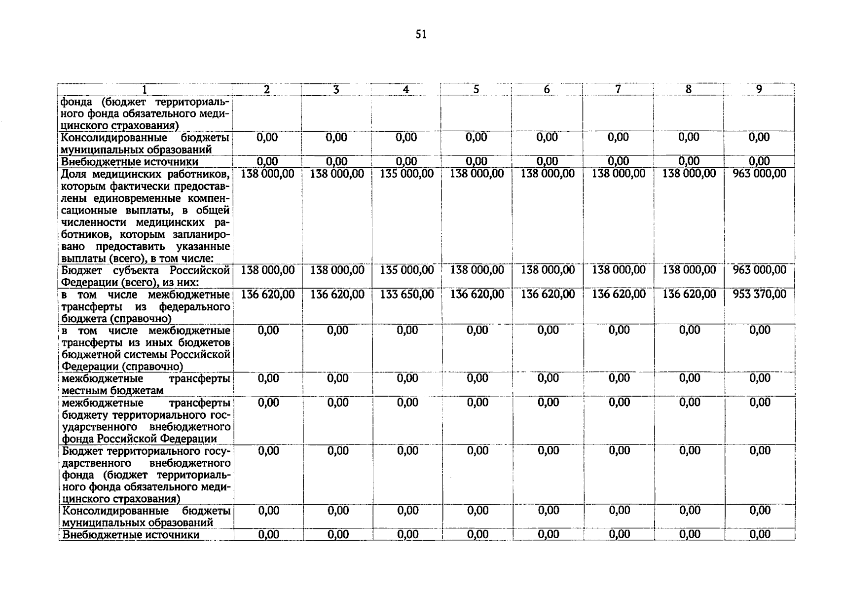
Приказ Министерства здравоохранения Алтайского края от 16.12.2025 № 474
"О внесении изменений в приказ Министерства здравоохранения Алтайского края от 26.12.2023 № 600"
(Зарегистрирован 18.12.2025 № 2011)
Номер опубликования: 2201202512180005
Дата опубликования: 18.12.2025
Страница №51 из 84:
Увеличить