Официальное опубликование правовых актов
ОФИЦИАЛЬНОЕ ОПУБЛИКОВАНИЕ
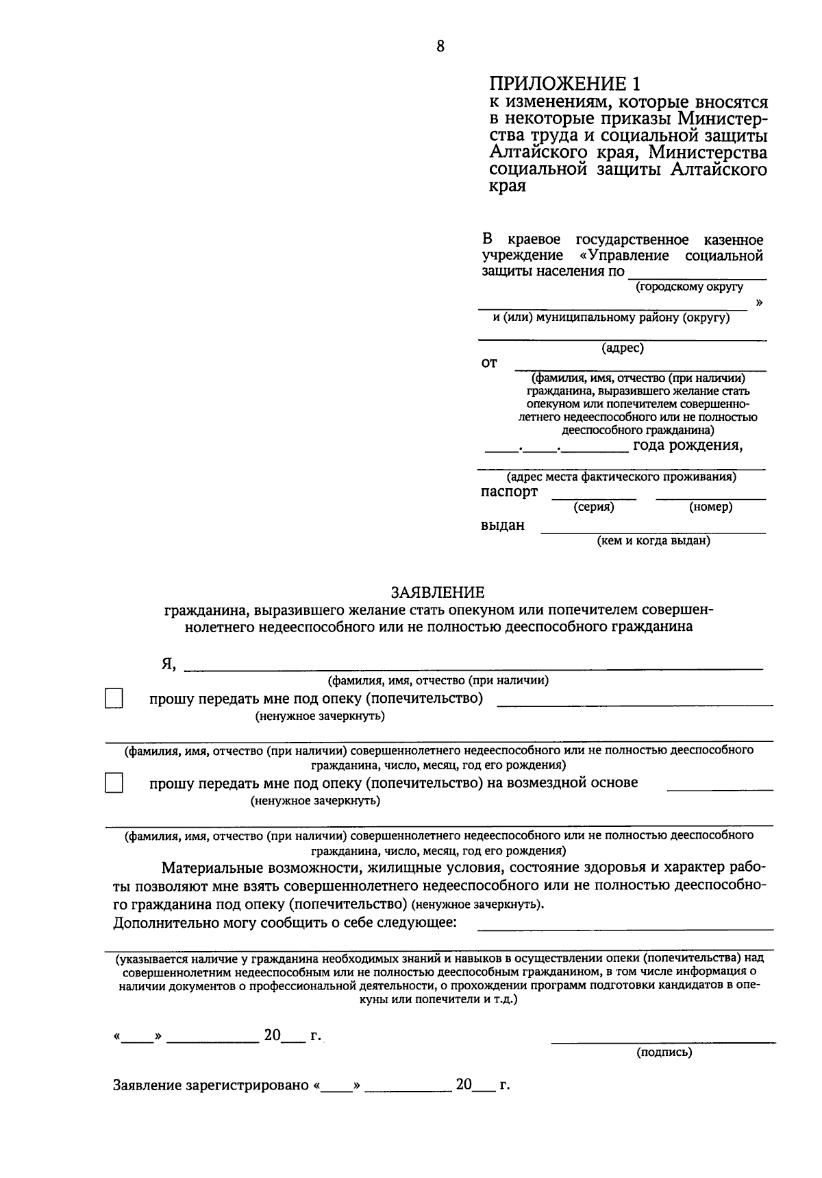
Приказ Министерства социальной защиты Алтайского края от 28.10.2025 № 27/Пр/834
"О внесении изменений в некоторые приказы Министерства труда и социальной защиты Алтайского края, Министерства социальной защиты Алтайского края"
(Зарегистрирован 28.10.2025 № 1540)
Номер опубликования: 2201202510280001
Дата опубликования: 28.10.2025
Страница №8 из 26:
Увеличить