Официальное опубликование правовых актов
ОФИЦИАЛЬНОЕ ОПУБЛИКОВАНИЕ
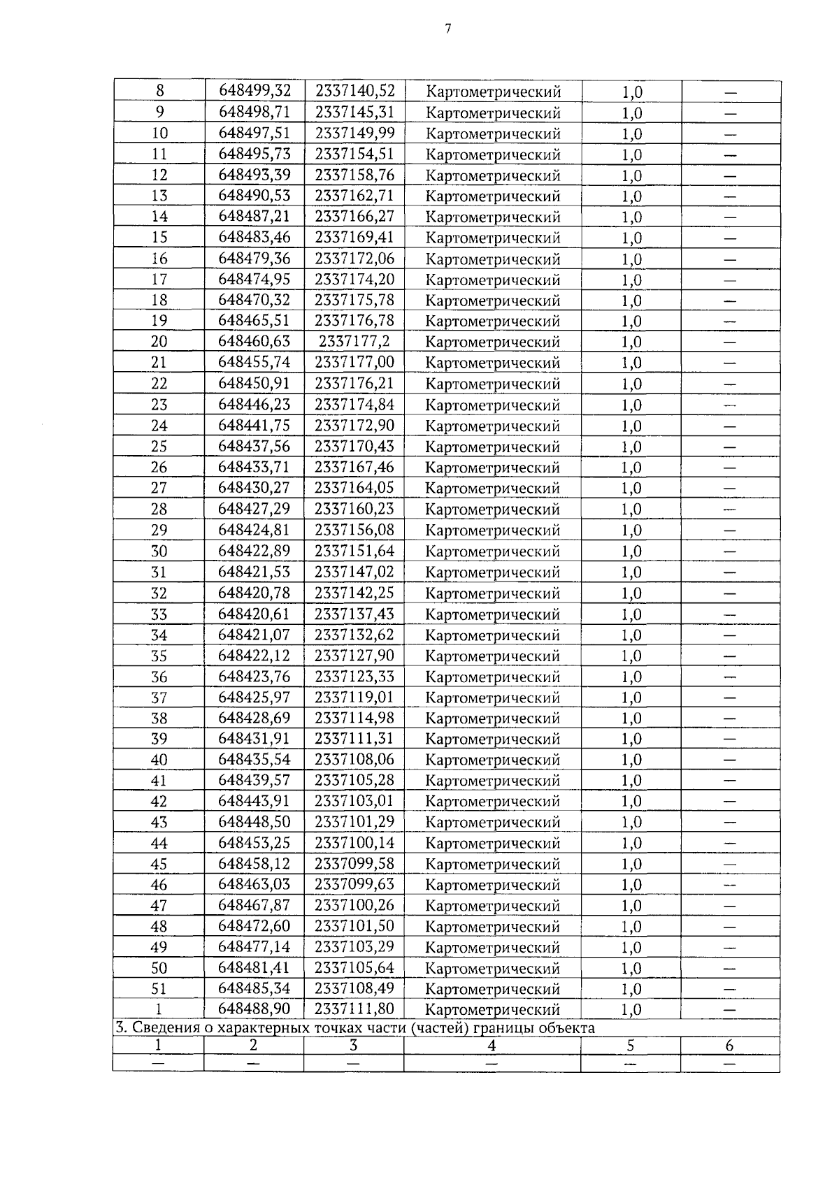
Приказ Министерства природных ресурсов и экологии Алтайского края от 13.10.2025 № 1111
"Об установлении зон санитарной охраны подземного источника питьевого и хозяйственно-бытового водоснабжения ООО "Алтай-Форест" (Тальменский район, Алтайский край)"
(Зарегистрирован 13.10.2025 № 1455)
Номер опубликования: 2201202510130013
Дата опубликования: 13.10.2025
Страница №7 из 13:
Увеличить