Официальное опубликование правовых актов
ОФИЦИАЛЬНОЕ ОПУБЛИКОВАНИЕ
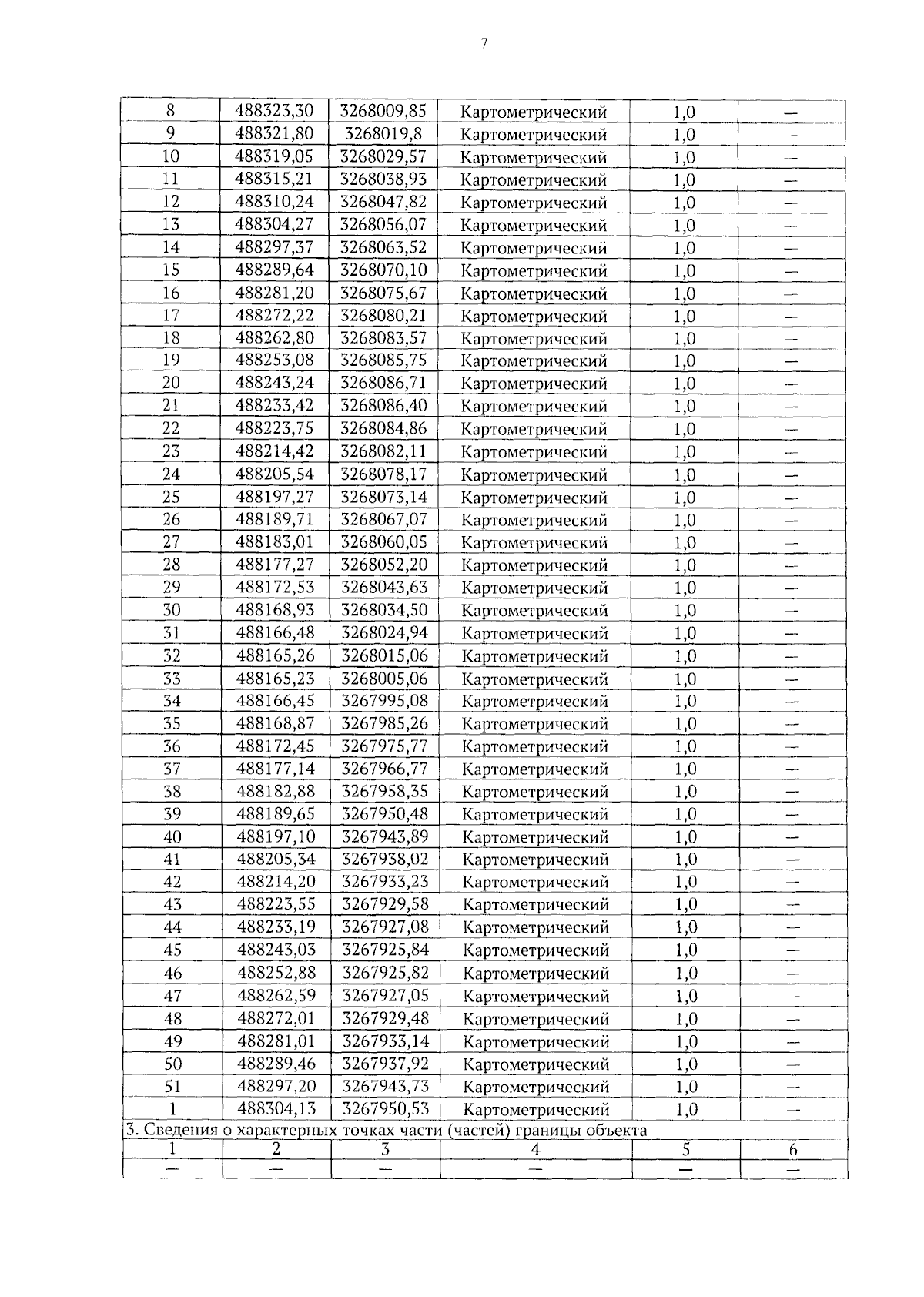
Приказ Министерства природных ресурсов и экологии Алтайского края от 06.08.2025 № 824
"Об установлении зон санитарной охраны подземного источника питьевого и хозяйственно-бытового водоснабжения филиала "Алтайский бройлер" акционерного общества "Куриное Царство" (город Бийск, Алтайский край)"
(Зарегистрирован 06.08.2025 № 1122)
Номер опубликования: 2201202508060010
Дата опубликования: 06.08.2025
Страница №7 из 13:
Увеличить