Официальное опубликование правовых актов
ОФИЦИАЛЬНОЕ ОПУБЛИКОВАНИЕ
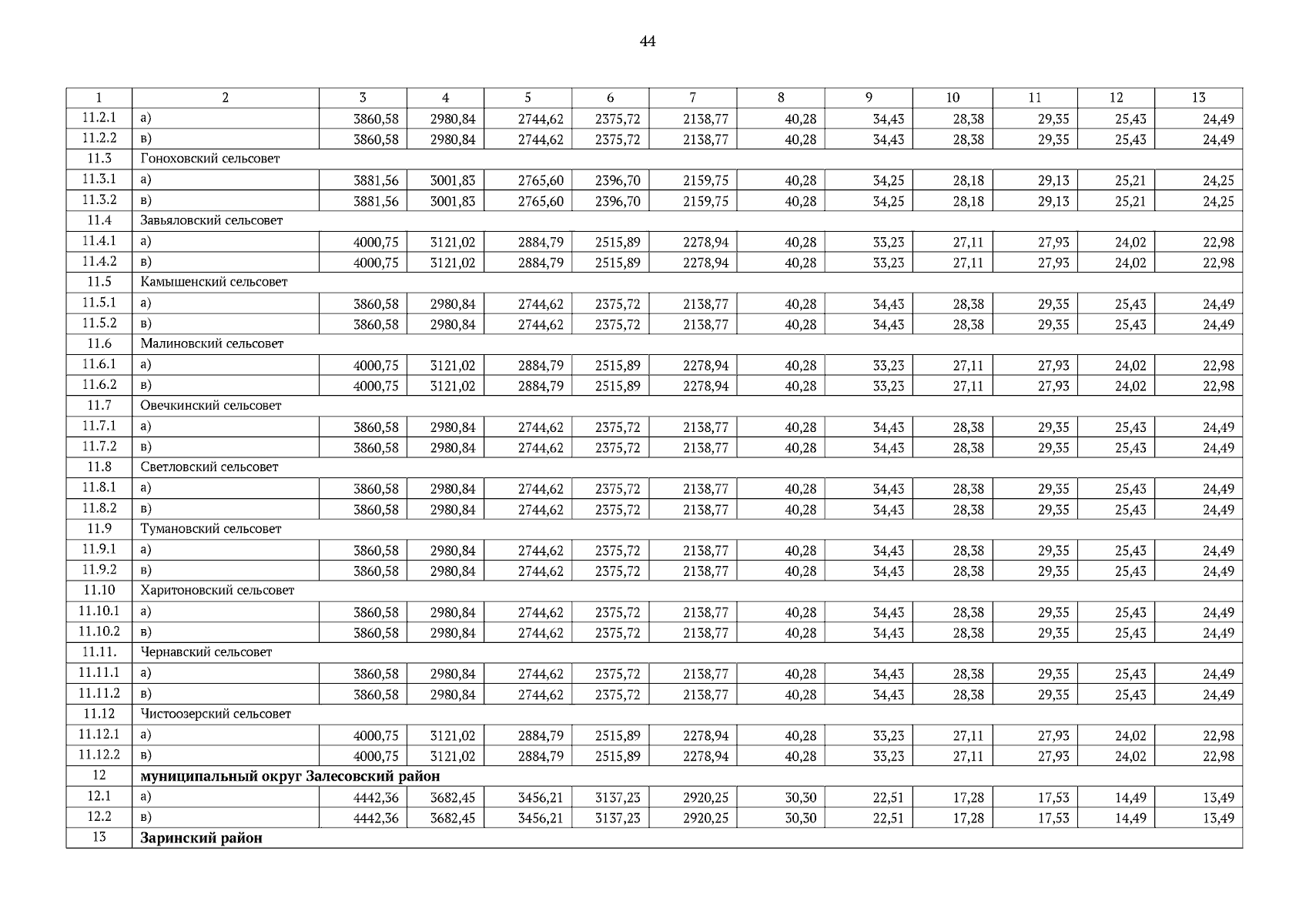
Решение Управления Алтайского края по государственному регулированию цен и тарифов от 25.06.2025 № 79
"О внесении изменений в решение управления Алтайского края по государственному регулированию цен и тарифов от 25.12.2024 № 557"
(Зарегистрирован 26.06.2025 № 939)
Номер опубликования: 2201202506260012
Дата опубликования: 26.06.2025
Страница №44 из 177:
Увеличить