Официальное опубликование правовых актов
ОФИЦИАЛЬНОЕ ОПУБЛИКОВАНИЕ
Приказ Министерства образования и науки Алтайского края от 30.01.2025 № 6-П
"О внесении изменений в приказ Министерства образования и науки Алтайского края от 27.12.2023 № 75-П"
(Зарегистрирован 30.01.2025 № 75)
Номер опубликования: 2201202501300004
Дата опубликования: 30.01.2025
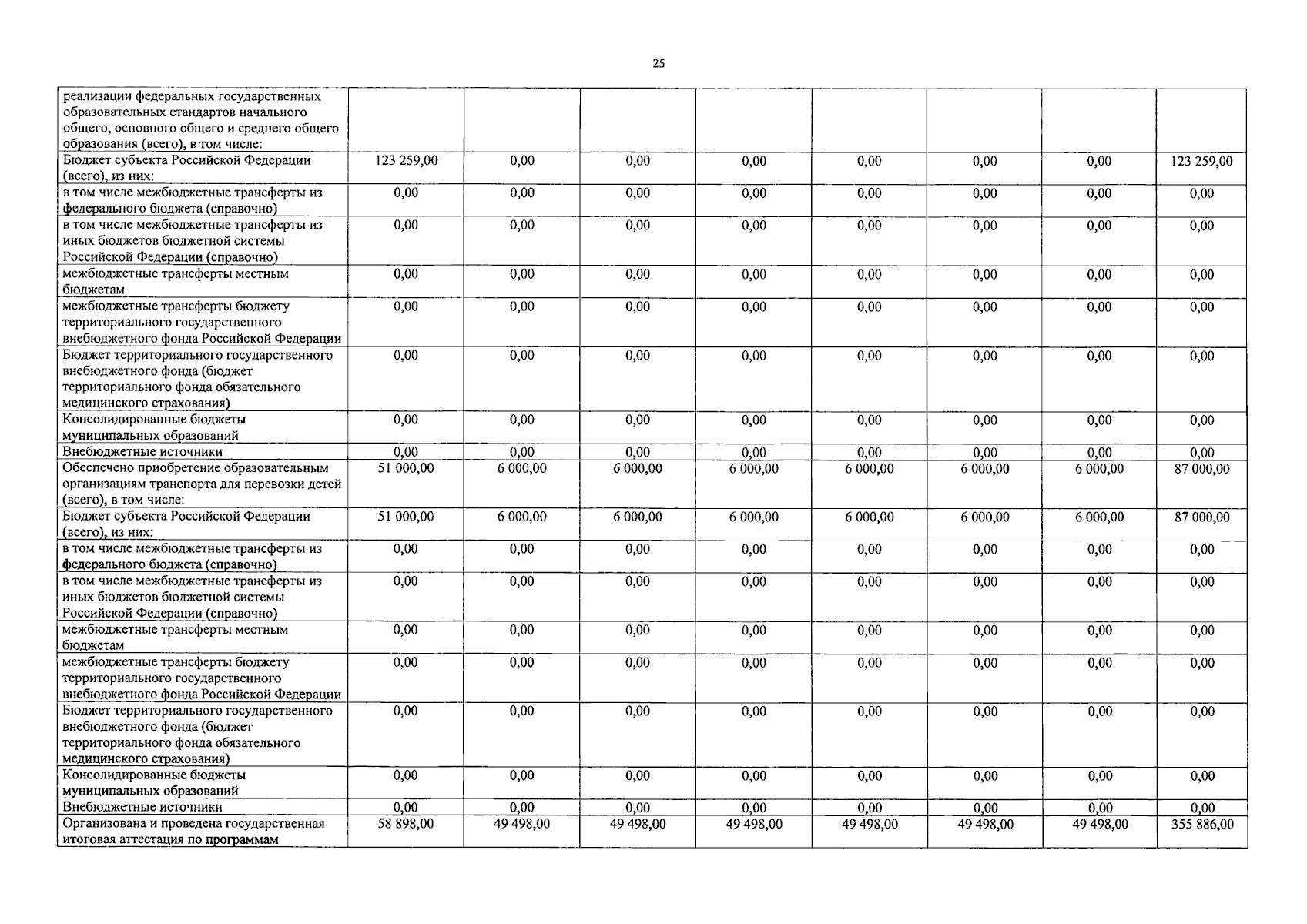
Страница №25 из 138:
Увеличить