Официальное опубликование правовых актов
ОФИЦИАЛЬНОЕ ОПУБЛИКОВАНИЕ
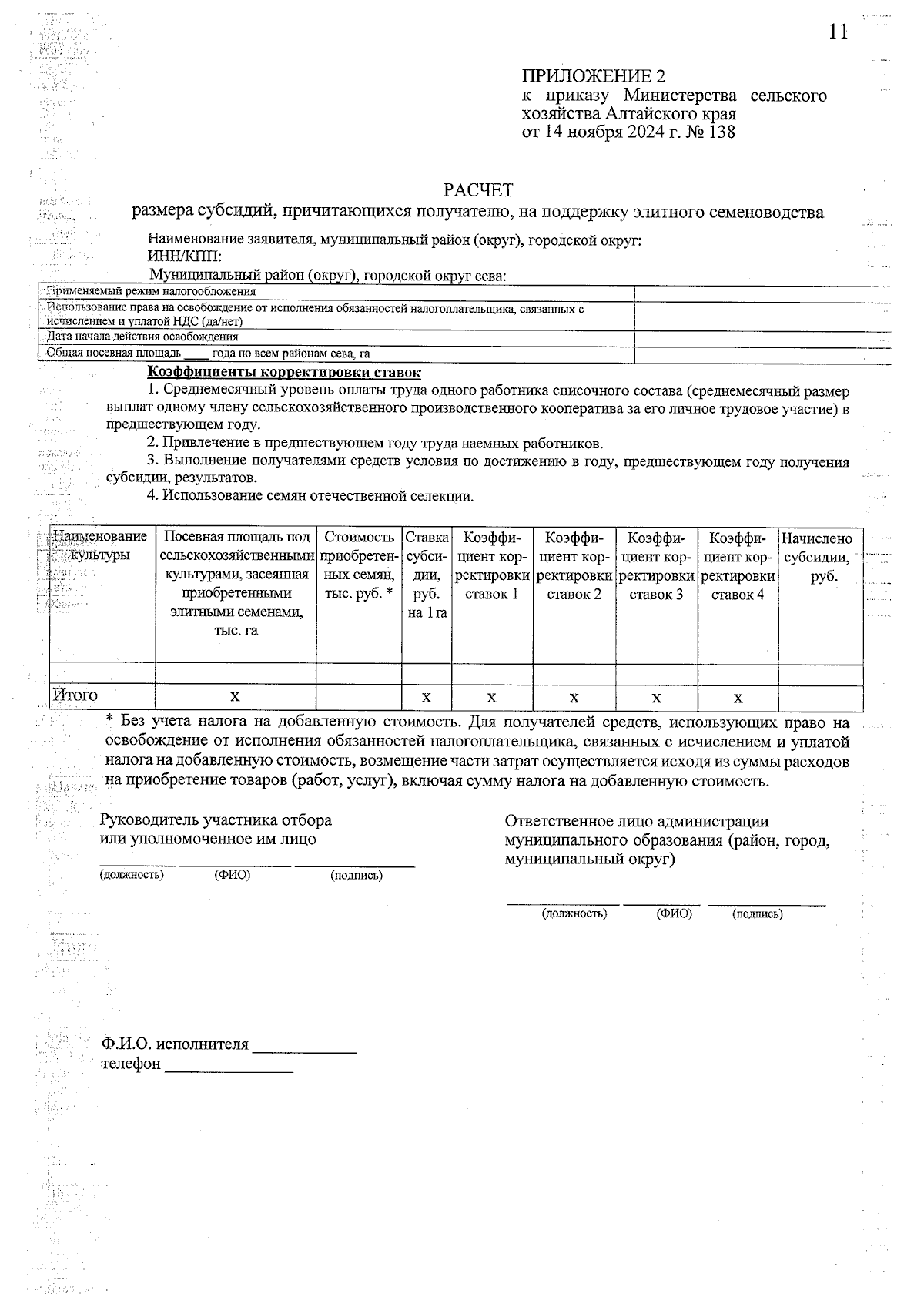
Приказ Министерства сельского хозяйства Алтайского края от 14.11.2024 № 138
"О внесении изменений в некоторые приказы Министерства сельского хозяйства Алтайского края"
(Зарегистрирован 15.11.2024 № 1582)
Номер опубликования: 2201202411150016
Дата опубликования: 15.11.2024
Страница №11 из 24:
Увеличить