Официальное опубликование правовых актов
ОФИЦИАЛЬНОЕ ОПУБЛИКОВАНИЕ
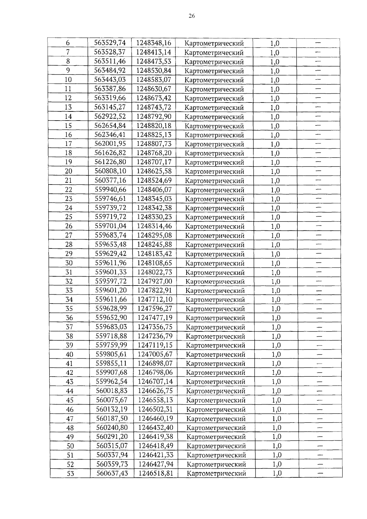
Приказ Министерства природных ресурсов и экологии Алтайского края от 16.07.2024 № 819
"Об установлении зон санитарной охраны подземных источников питьевого и хозяйственно-бытового водоснабжения ЗАО "Славгородский молочный комбинат" (муниципальный округ город Славгород, Алтайский край)"
(Зарегистрирован 16.07.2024 № 737)
Номер опубликования: 2201202407170004
Дата опубликования: 17.07.2024
Страница №26 из 36:
Увеличить