Приказ Министерства строительства и жилищно-коммунального хозяйства Алтайского края от 12.10.2020 № 377
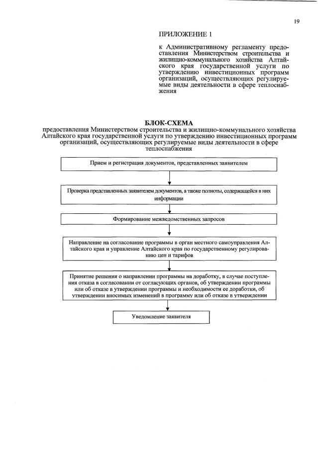
"Об утверждении административного регламента предоставления Министерством строительства и жилищно-коммунального хозяйства Алтайского края государственной услуги по утверждению инвестиционных программ организаций, осуществляющих регулируемые виды деятельности в сфере теплоснабжения"
"Об утверждении административного регламента предоставления Министерством строительства и жилищно-коммунального хозяйства Алтайского края государственной услуги по утверждению инвестиционных программ организаций, осуществляющих регулируемые виды деятельности в сфере теплоснабжения"
Номер опубликования: 2201202010120002
Дата опубликования:
12.10.2020
