Официальное опубликование правовых актов
ОФИЦИАЛЬНОЕ ОПУБЛИКОВАНИЕ
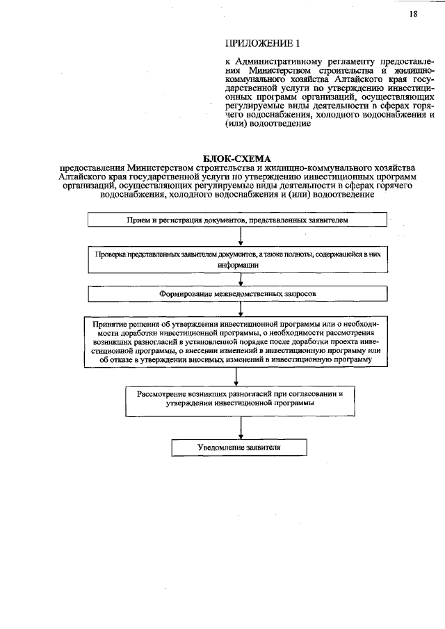
Приказ Министерства строительства и жилищно-коммунального хозяйства Алтайского края от 12.10.2020 № 378
"Об утверждении административного регламента предоставления Министерством строительства и жилищно-коммунального хозяйства Алтайского края государственной услуги по утверждению инвестиционных программ организаций, осуществляющих регулируемые виды деятельности в сферах горячего водоснабжения, холодного водоснабжения и (или) водоотведения"
Номер опубликования: 2201202010120001
Дата опубликования: 12.10.2020
Страница №18 из 19:
Увеличить