Официальное опубликование правовых актов
ОФИЦИАЛЬНОЕ ОПУБЛИКОВАНИЕ
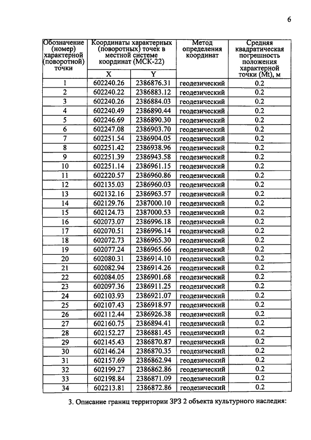
Приказ Управления государственной охраны объектов культурного наследия Алтайского края от 07.10.2020 № 831
"Об установлении зон охраны объекта культурного наследия регионального значения "Дом культуры меланжевого комбината", 1937 г., расположенного по адресу: Алтайский край, г. Барнаул, просп. Калинина, 2, утверждении режимов использования земель и требований к градостроительным регламентам в границах территорий данных зон"
Номер опубликования: 2201202010090054
Дата опубликования: 09.10.2020
Страница №6 из 16:
Увеличить