Официальное опубликование правовых актов
ОФИЦИАЛЬНОЕ ОПУБЛИКОВАНИЕ
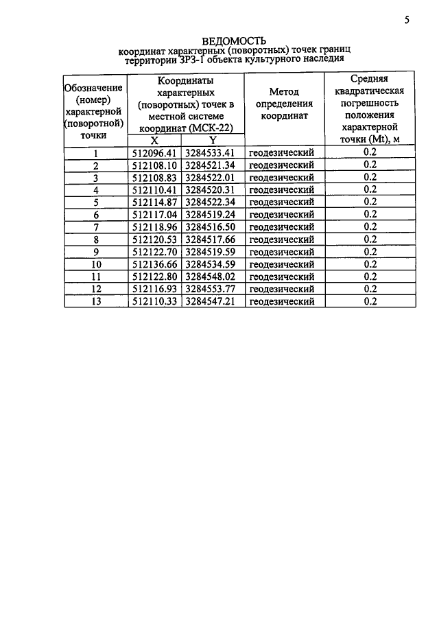
Приказ Управления государственной охраны объектов культурного наследия Алтайского края от 05.10.2020 № 828
"Об установлении зон охраны объекта культурного наследия регионального значения "Жилой дом", 1911 г., расположенного по адресу: Алтайский край, г. Бийск, ул. Владимира Ленина, 104а, утверждении режимов использования земель и требований к градостроительным регламентам в границах территорий данных зон"
Номер опубликования: 2201202010070008
Дата опубликования: 07.10.2020
Страница №5 из 12:
Увеличить