Официальное опубликование правовых актов
ОФИЦИАЛЬНОЕ ОПУБЛИКОВАНИЕ
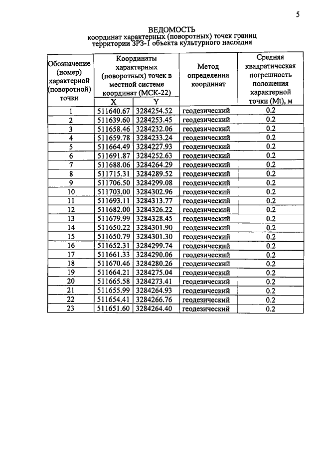
Приказ Управления государственной охраны объектов культурного наследия Алтайского края от 05.10.2020 № 822
"Об установлении зон охраны объекта культурного наследия регионального значения "Дом Притчина", 1910 г., расположенного по адресу: Алтайский край, г. Бийск, ул. Льва Толстого, 136, утверждении режимов использования земель и требований к градостроительным регламентам в границах территорий данных зон"
Номер опубликования: 2201202010070002
Дата опубликования: 07.10.2020
Страница №5 из 12:
Увеличить