Официальное опубликование правовых актов
ОФИЦИАЛЬНОЕ ОПУБЛИКОВАНИЕ
Приказ Управления государственной охраны объектов культурного наследия Алтайского края от 15.09.2020 № 786
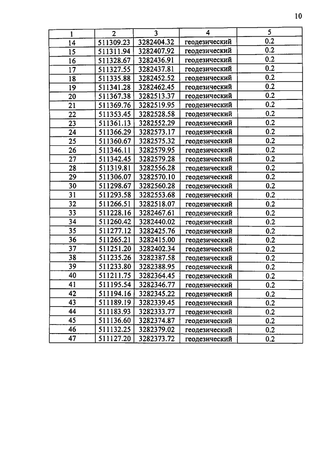
"Об установлении зон охраны объекта культурного наследия регионального значения "Бывшее Архиерейское подворье", кон. XIX в., расположенного по адресам: Алтайский край, г. Бийск, ул. Ильи Мухачева, 230/3, ул. Иркутская, 1/20, ул. Иркутская, 1/1, ул. Иркутская, 1/4, ул. Иркутская, 1/50, ул. Иркутская, 1/2, ул. Иркутская, 1/24, утверждении режимов использования земель и требований к градостроительным регламентам в границах территорий данных зон"
Номер опубликования: 2201202009170003
Дата опубликования: 17.09.2020
Страница №10 из 18:
Увеличить