Официальное опубликование правовых актов
ОФИЦИАЛЬНОЕ ОПУБЛИКОВАНИЕ
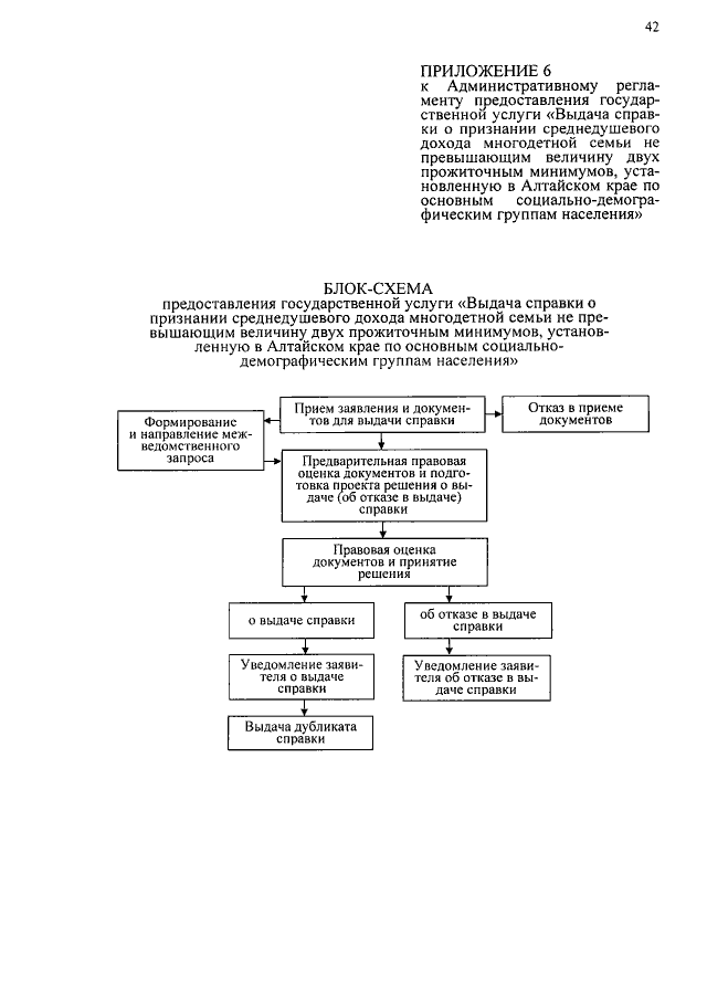
Приказ Министерства социальной защиты Алтайского края от 07.09.2020 № 27/Пр/293
"Об утверждении Административного регламента предоставления государственной услуги "Выдача справки о признании среднедушевого дохода многодетной семьи не превышающим величину двух прожиточных минимумов, установленную в Алтайском крае по основным социально-демографическим группам населения"
Номер опубликования: 2201202009080011
Дата опубликования: 08.09.2020
Страница №42 из 42:
Увеличить